Официальное опубликование правовых актов
ОФИЦИАЛЬНОЕ ОПУБЛИКОВАНИЕ
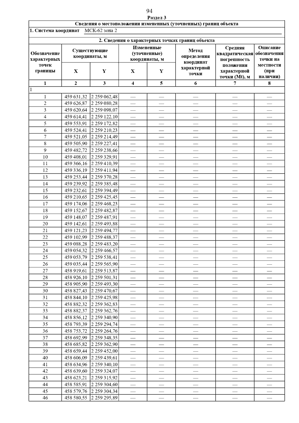
Постановление Главного управления архитектуры и градостроительства Рязанской области от 20.08.2025 № 691-п
"Об утверждении генерального плана муниципального образования – Касимовский муниципальный округ Рязанской области применительно к территории Первинского сельского округа Касимовского района Рязанской области"
(Зарегистрирован 21.08.2025 № 1020)
Номер опубликования: 6201202508220013
Дата опубликования: 22.08.2025
Страница №106 из 146:
Увеличить