Официальное опубликование правовых актов
ОФИЦИАЛЬНОЕ ОПУБЛИКОВАНИЕ
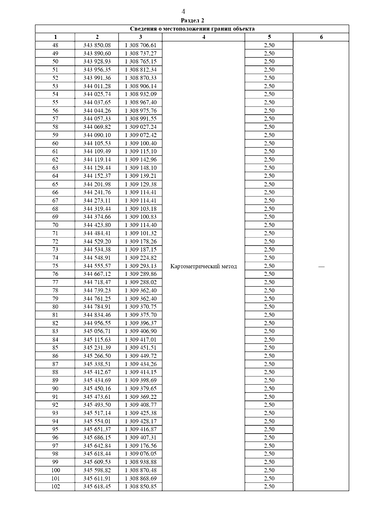
Постановление Главного управления архитектуры и градостроительства Рязанской области от 20.08.2025 № 693-п
"О внесении изменения в генеральный план муниципального образования – Корневское сельское поселение Скопинского муниципального района Рязанской области"
(Зарегистрирован 21.08.2025 № 1022)
Номер опубликования: 6201202508220010
Дата опубликования: 22.08.2025
Страница №6 из 20:
Увеличить