Официальное опубликование правовых актов
ОФИЦИАЛЬНОЕ ОПУБЛИКОВАНИЕ
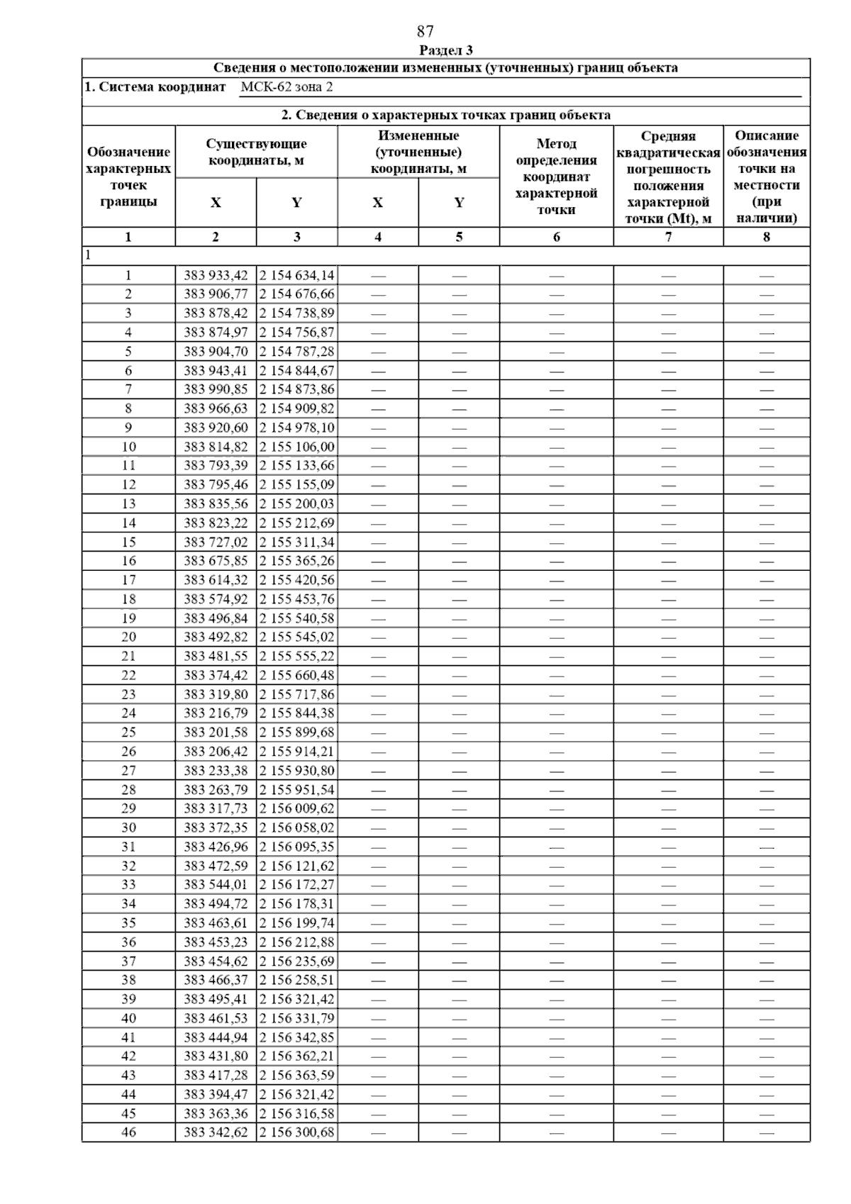
Постановление Главного управления архитектуры и градостроительства Рязанской области от 19.08.2025 № 687-п
"Об утверждении генерального плана муниципального образования – Кораблинский муниципальный округ Рязанской области применительно к территории Незнановского сельского округа Кораблинского района Рязанской области"
(Зарегистрирован 20.08.2025 № 1011)
Номер опубликования: 6201202508220008
Дата опубликования: 22.08.2025
Страница №98 из 148:
Увеличить