Официальное опубликование правовых актов
ОФИЦИАЛЬНОЕ ОПУБЛИКОВАНИЕ
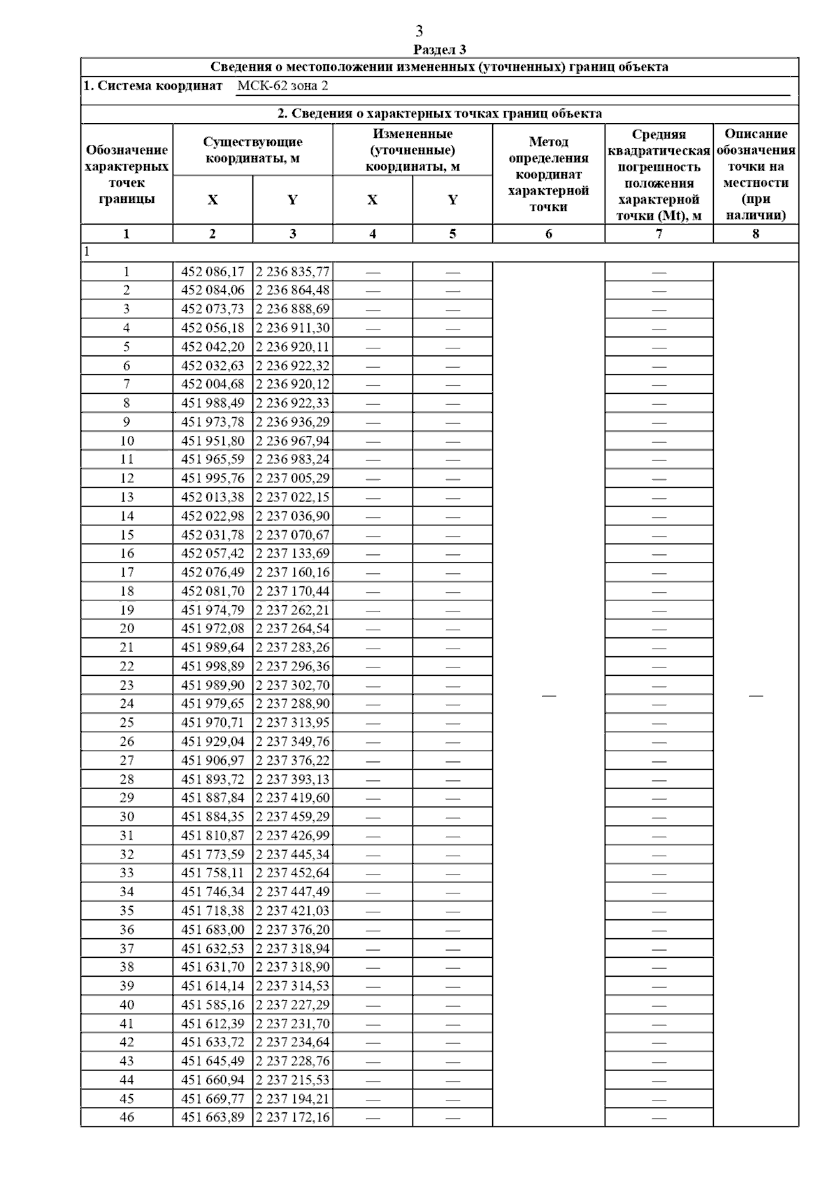
Постановление Главного управления архитектуры и градостроительства Рязанской области от 19.08.2025 № 689-п
"Об утверждении генерального плана муниципального образования – Касимовский муниципальный округ Рязанской области применительно к территориям Токаревского и Шостьинского сельских округов Касимовского района Рязанской области"
(Зарегистрирован 20.08.2025 № 1013)
Номер опубликования: 6201202508220006
Дата опубликования: 22.08.2025
Страница №15 из 129:
Увеличить