Официальное опубликование правовых актов
ОФИЦИАЛЬНОЕ ОПУБЛИКОВАНИЕ
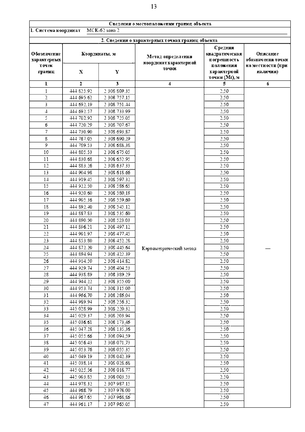
Постановление Главного управления архитектуры и градостроительства Рязанской области от 14.08.2025 № 664-п
"Об утверждении генерального плана муниципального образования – Енкаевское сельское поселение Кадомского муниципального района Рязанской области"
(Зарегистрирован 15.08.2025 № 982)
Номер опубликования: 6201202508190003
Дата опубликования: 19.08.2025
Страница №23 из 71:
Увеличить