Официальное опубликование правовых актов
ОФИЦИАЛЬНОЕ ОПУБЛИКОВАНИЕ
Постановление Главного управления архитектуры и градостроительства Рязанской области от 08.08.2025 № 638-п
"О внесении изменений в правила землепользования и застройки муниципального образования - Кутуковское сельское поселение Спасского муниципального района Рязанской области"
(Зарегистрирован 11.08.2025 № 951)
Номер опубликования: 6201202508140010
Дата опубликования: 14.08.2025
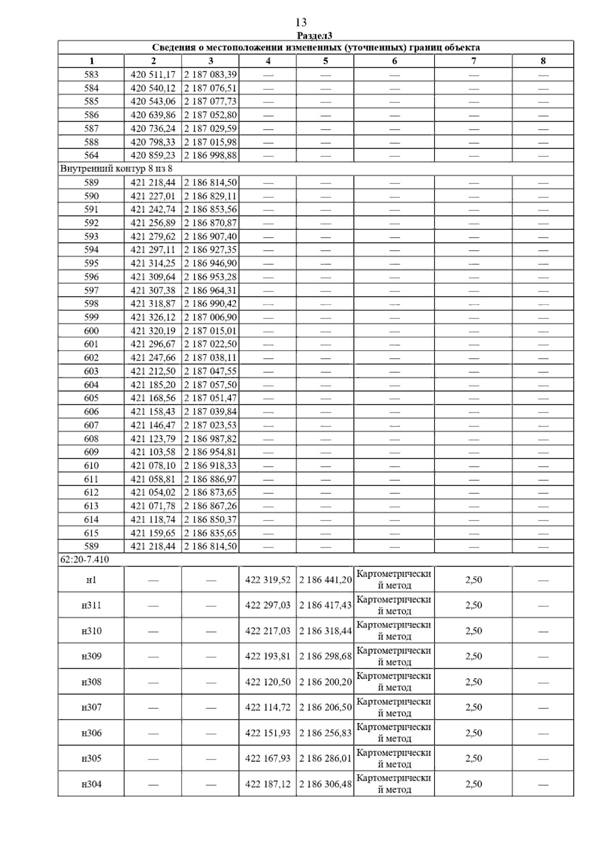
Страница №56 из 78:
Увеличить