Официальное опубликование правовых актов
ОФИЦИАЛЬНОЕ ОПУБЛИКОВАНИЕ
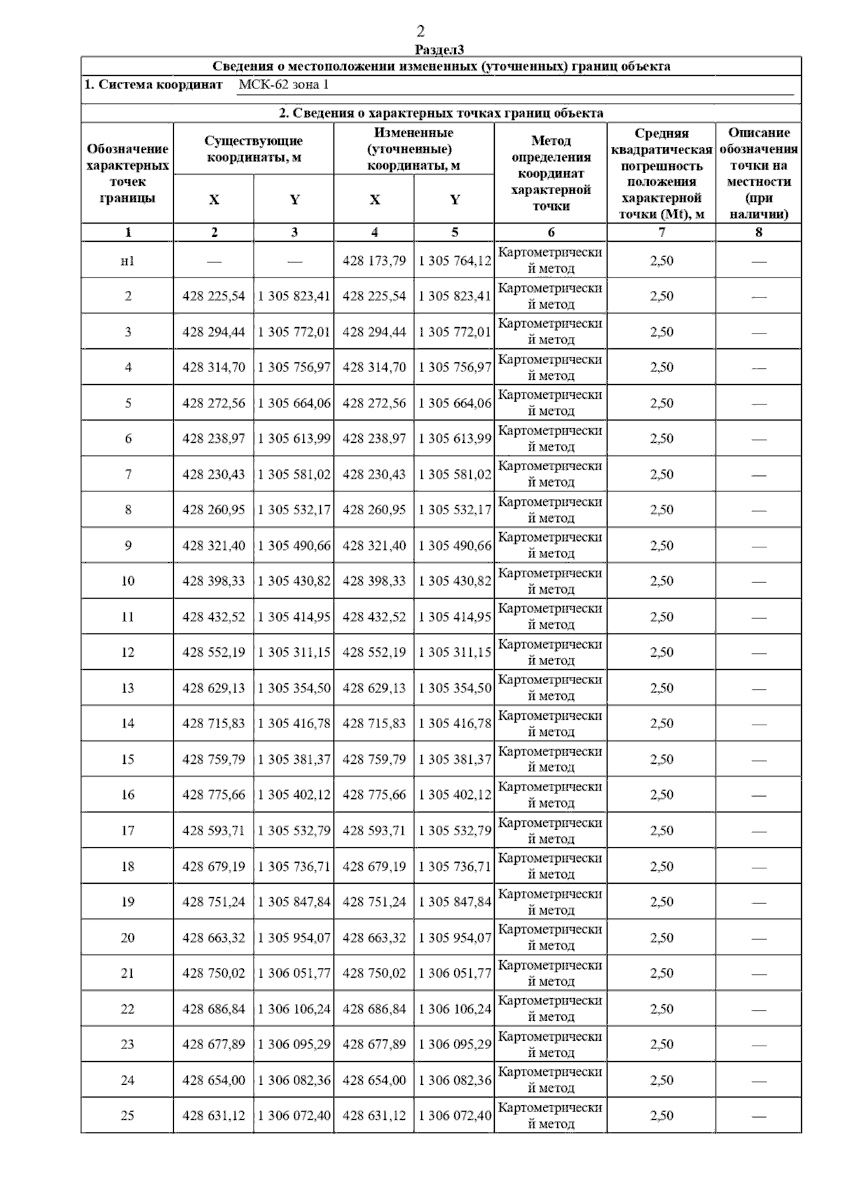
Постановление Главного управления архитектуры и градостроительства Рязанской области от 08.08.2025 № 640-п
"О внесении изменений в генеральный план муниципального образования – Плахинское сельское поселение Захаровского муниципального района Рязанской области"
(Зарегистрирован 11.08.2025 № 953)
Номер опубликования: 6201202508140008
Дата опубликования: 14.08.2025
Страница №4 из 6:
Увеличить