Официальное опубликование правовых актов
ОФИЦИАЛЬНОЕ ОПУБЛИКОВАНИЕ
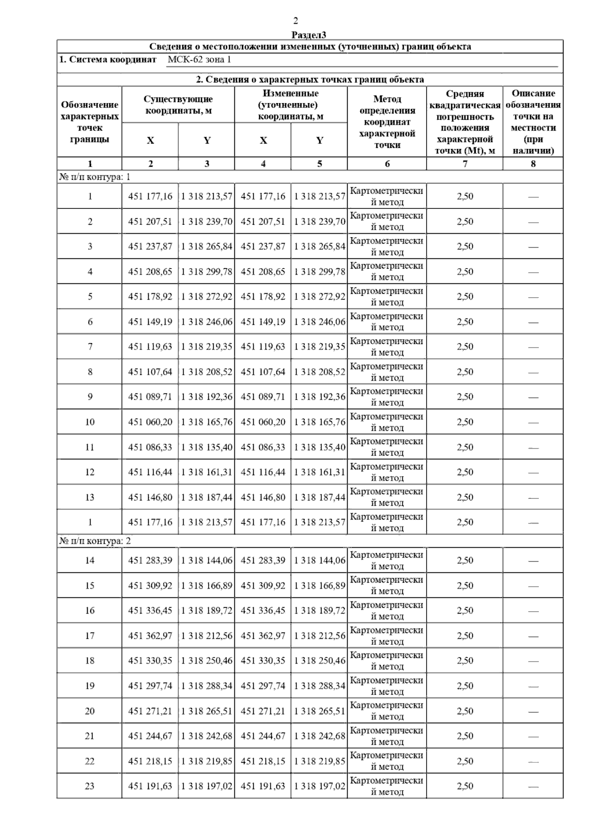
Постановление Главного управления архитектуры и градостроительства Рязанской области от 05.08.2025 № 616-п
"О внесении изменений в правила землепользования и застройки муниципального образования - Рыбновское городское поселение Рыбновского муниципального района Рязанской области"
(Зарегистрирован 06.08.2025 № 926)
Номер опубликования: 6201202508130005
Дата опубликования: 13.08.2025
Страница №4 из 559:
Увеличить