Официальное опубликование правовых актов
ОФИЦИАЛЬНОЕ ОПУБЛИКОВАНИЕ
Постановление Главного управления архитектуры и градостроительства Рязанской области от 05.08.2025 № 617-п
"О внесении изменений в генеральный план муниципального образования – Успенское сельское поселение Скопинского муниципального района Рязанской области"
(Зарегистрирован 06.08.2025 № 927)
Номер опубликования: 6201202508130004
Дата опубликования: 13.08.2025
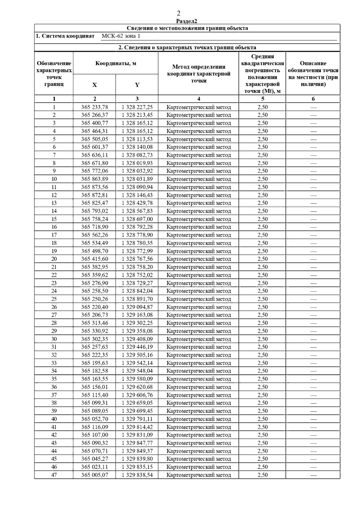
Страница №20 из 22:
Увеличить