Официальное опубликование правовых актов
ОФИЦИАЛЬНОЕ ОПУБЛИКОВАНИЕ
Постановление Главного управления архитектуры и градостроительства Рязанской области от 01.08.2025 № 609-п
"О внесении изменений в правила землепользования и застройки муниципального образования - Баграмовское сельское поселение Рыбновского муниципального района Рязанской области"
(Зарегистрирован 01.08.2025 № 914)
Номер опубликования: 6201202508050011
Дата опубликования: 05.08.2025
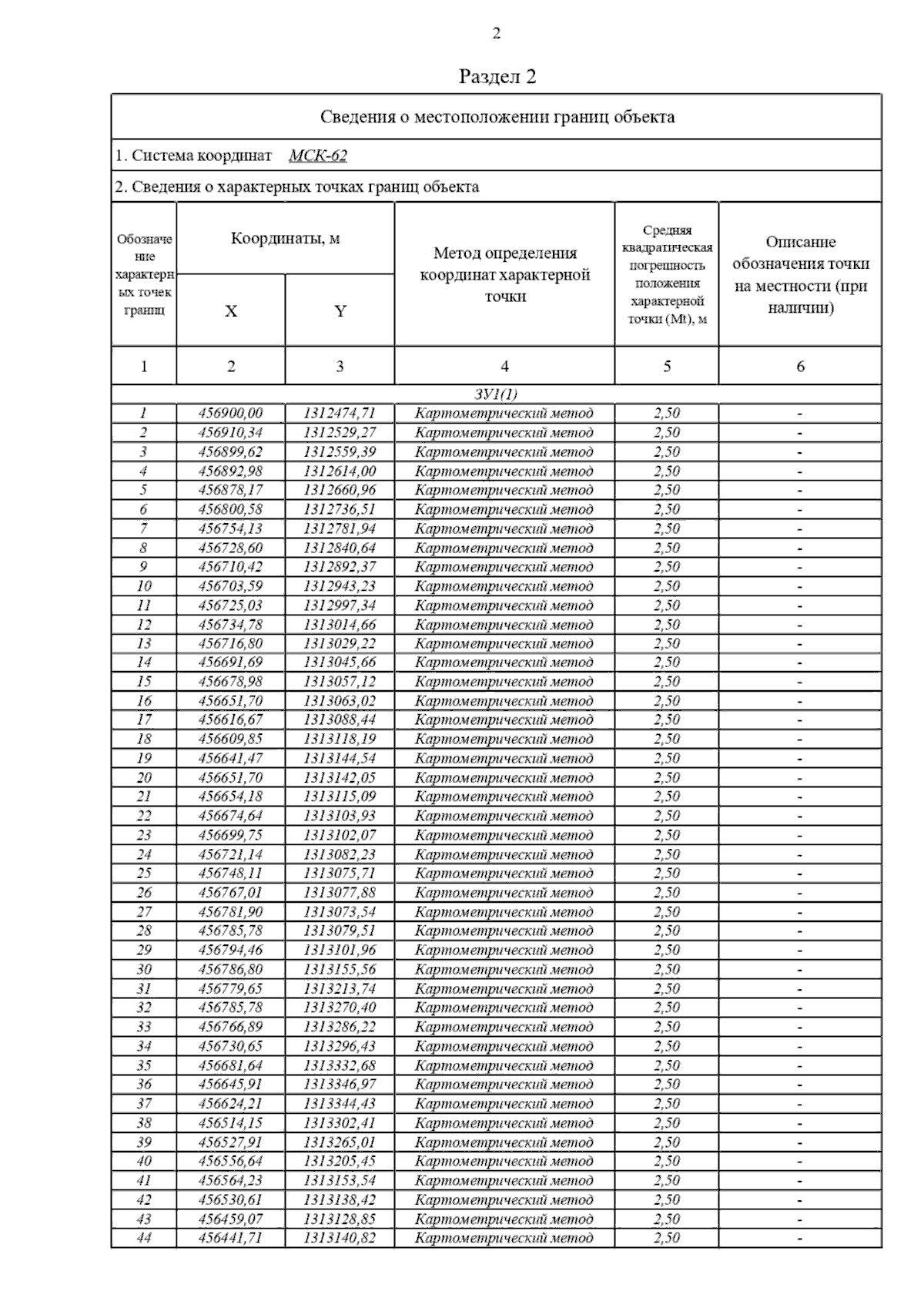
Страница №12 из 56:
Увеличить