Официальное опубликование правовых актов
ОФИЦИАЛЬНОЕ ОПУБЛИКОВАНИЕ
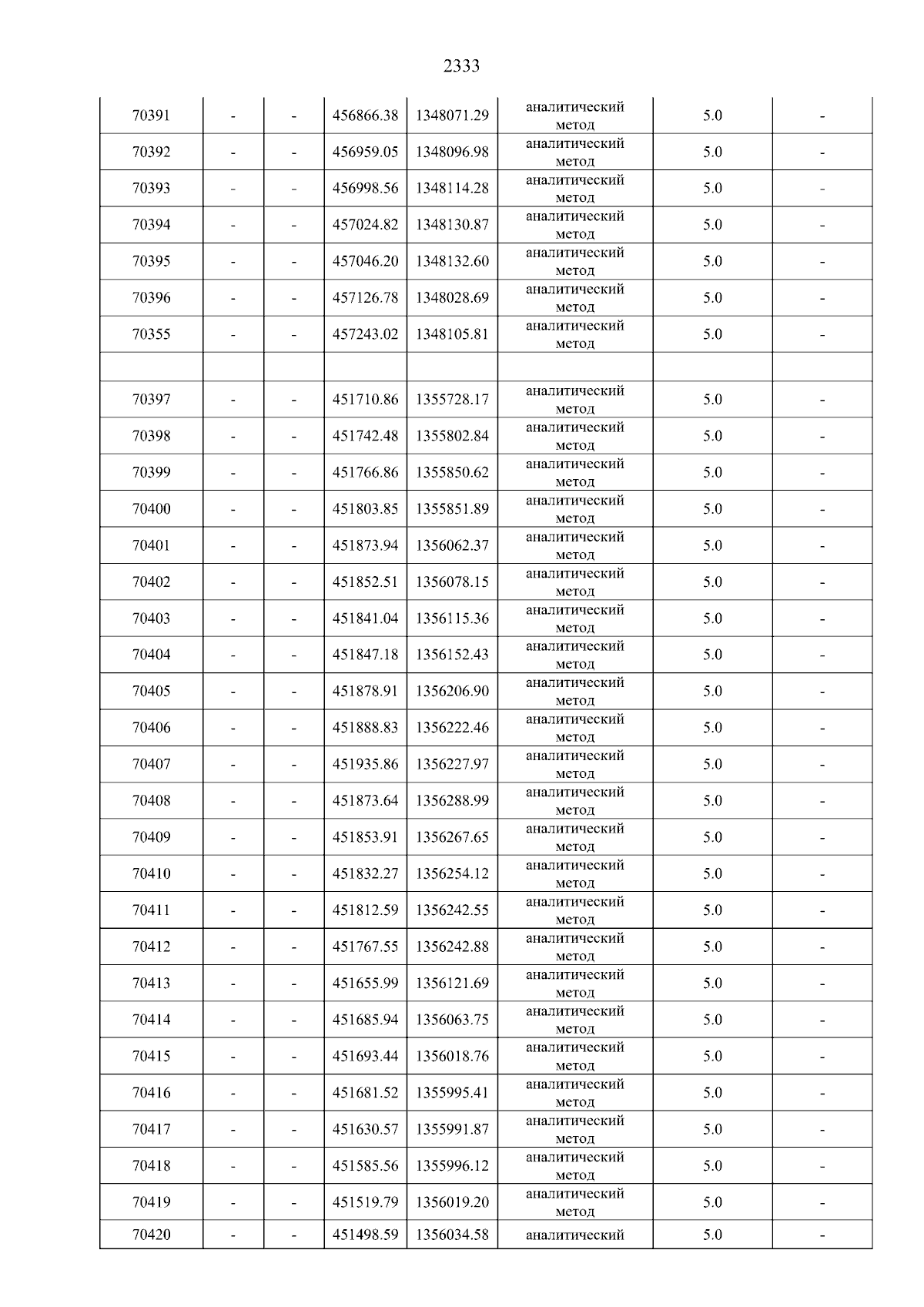
Постановление Министерства природопользования Рязанской области от 31.07.2025 № 31
"О внесении изменений в постановление министерства природопользования Рязанской области от 25 января 2021 г. № 2 "Об установлении границ лесопаркового зеленого пояса вокруг города Рязани" (в редакции постановлений министерства природопользования Рязанской области от 06.02.2023 № 1, от 08.02.2024 № 8, от 03.06.2025 №28)"
(Зарегистрирован 31.07.2025 № 909)
Номер опубликования: 6201202508050004
Дата опубликования: 05.08.2025
Страница №2334 из 2346:
Увеличить