Официальное опубликование правовых актов
ОФИЦИАЛЬНОЕ ОПУБЛИКОВАНИЕ
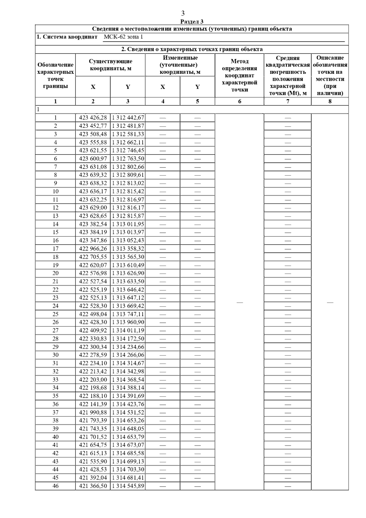
Постановление Главного управления архитектуры и градостроительства Рязанской области от 28.07.2025 № 596-п
"Об утверждении генерального плана муниципального образования – Безлыченское сельское поселение Захаровского муниципального района Рязанской области"
(Зарегистрирован 28.07.2025 № 890)
Номер опубликования: 6201202508010018
Дата опубликования: 01.08.2025
Страница №13 из 37:
Увеличить