Официальное опубликование правовых актов
ОФИЦИАЛЬНОЕ ОПУБЛИКОВАНИЕ
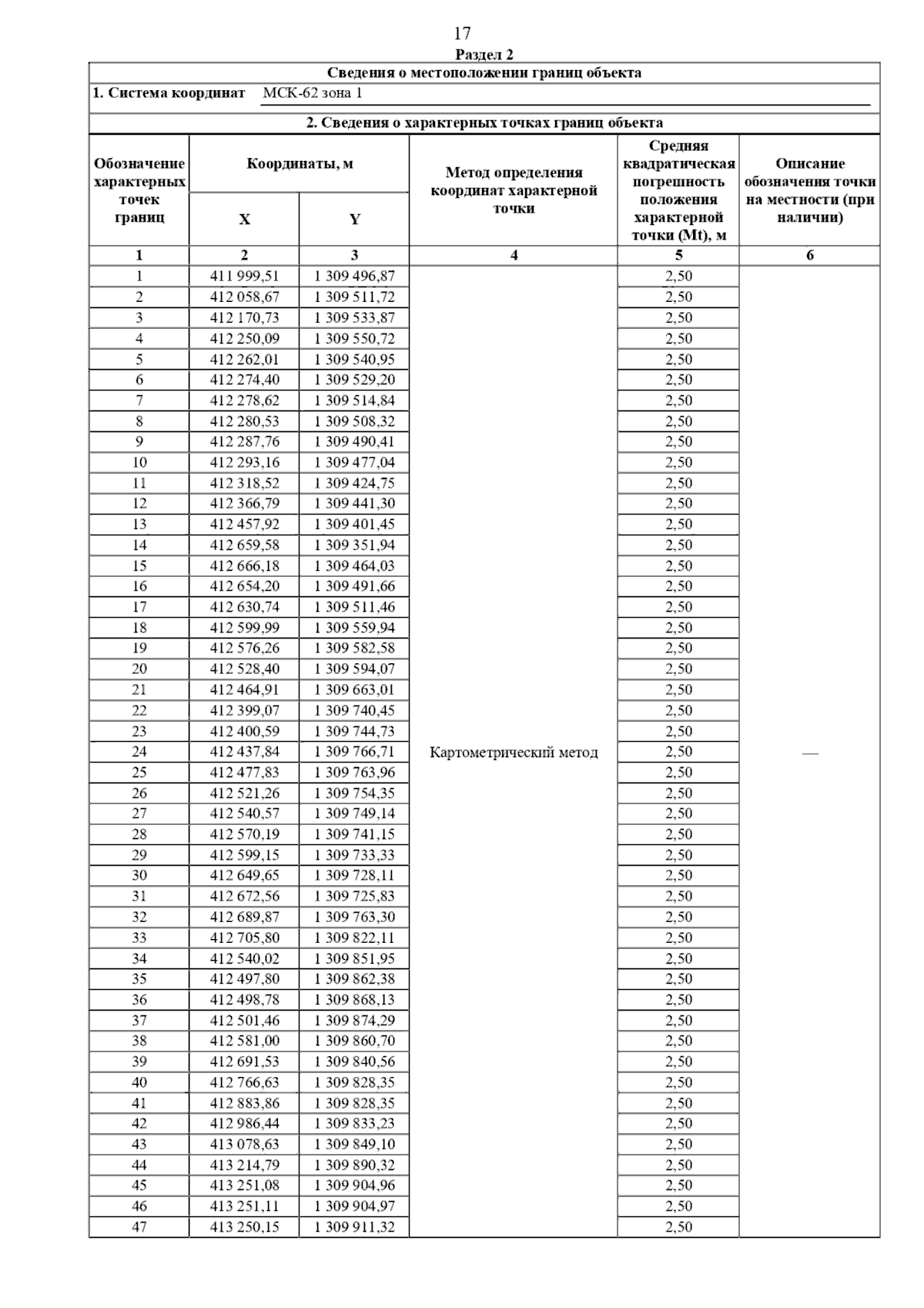
Постановление Главного управления архитектуры и градостроительства Рязанской области от 28.07.2025 № 597-п
"Об утверждении правил землепользования и застройки муниципального образования – Безлыченское сельское поселение Захаровского муниципального района Рязанской области"
(Зарегистрирован 28.07.2025 № 891)
Номер опубликования: 6201202508010017
Дата опубликования: 01.08.2025
Страница №47 из 76:
Увеличить