Официальное опубликование правовых актов
ОФИЦИАЛЬНОЕ ОПУБЛИКОВАНИЕ
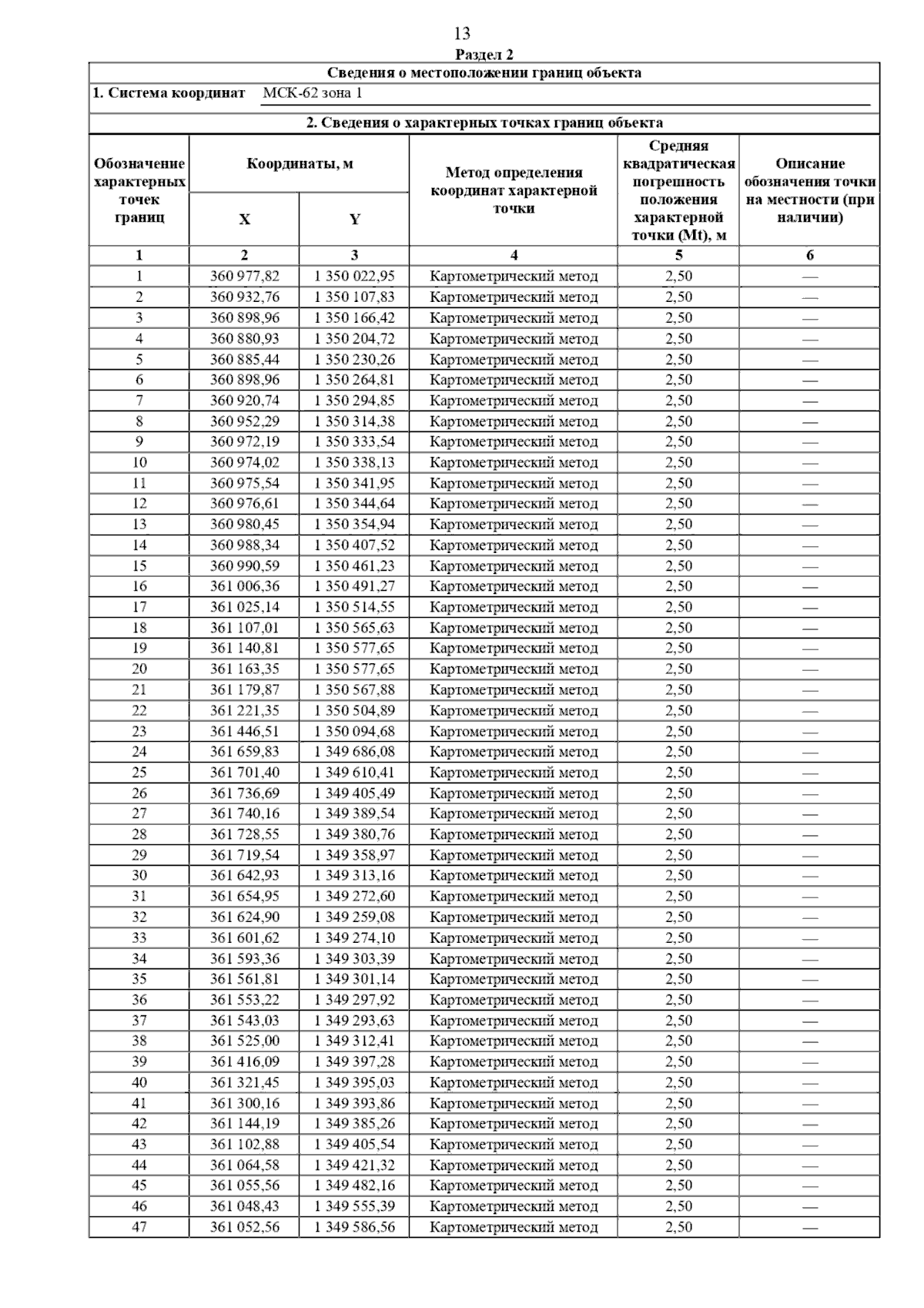
Постановление Главного управления архитектуры и градостроительства Рязанской области от 28.07.2025 № 600-п
"Об утверждении генерального плана муниципального образования – Кораблинский муниципальный округ Рязанской области применительно к территории Ковалинского сельского округа Кораблинского района Рязанской области"
(Зарегистрирован 28.07.2025 № 894)
Номер опубликования: 6201202508010014
Дата опубликования: 01.08.2025
Страница №23 из 34:
Увеличить