Официальное опубликование правовых актов
ОФИЦИАЛЬНОЕ ОПУБЛИКОВАНИЕ
Постановление Главного управления архитектуры и градостроительства Рязанской области от 28.07.2025 № 601-п
"Об утверждении правил землепользования и застройки муниципального образования – Кораблинский муниципальный округ Рязанской области применительно к территории Ковалинского сельского округа Кораблинского района Рязанской области"
(Зарегистрирован 28.07.2025 № 895)
Номер опубликования: 6201202508010012
Дата опубликования: 01.08.2025
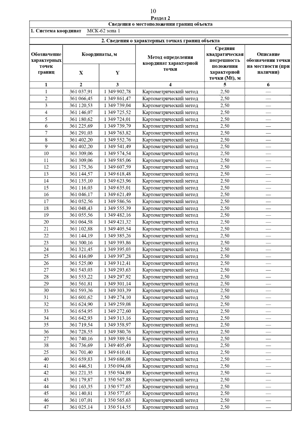
Страница №40 из 67:
Увеличить