Официальное опубликование правовых актов
ОФИЦИАЛЬНОЕ ОПУБЛИКОВАНИЕ
Постановление Главного управления архитектуры и градостроительства Рязанской области от 28.07.2025 № 602-п
"О внесении изменений в правила землепользования и застройки муниципального образования - Побединское городское поселение Скопинского муниципального района Рязанской области"
(Зарегистрирован 28.07.2025 № 896)
Номер опубликования: 6201202508010011
Дата опубликования: 01.08.2025
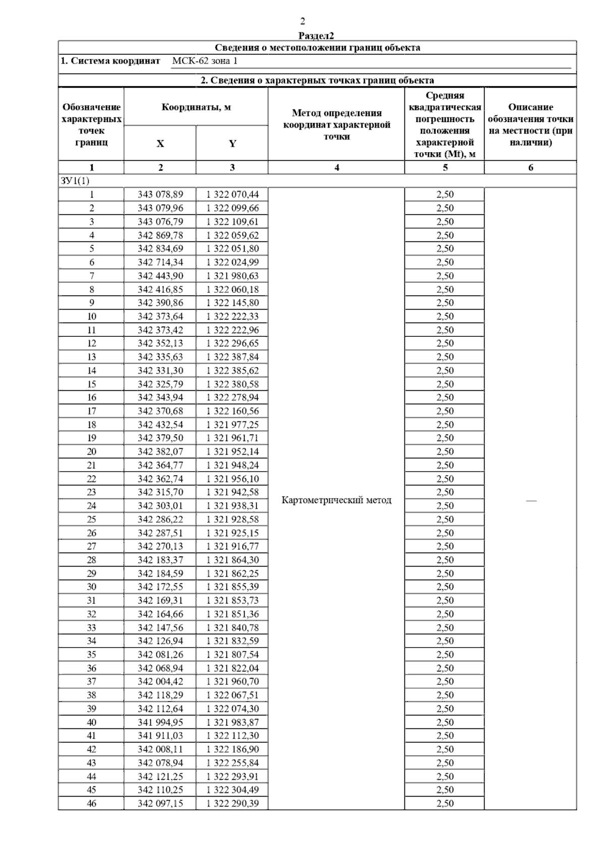
Страница №28 из 43:
Увеличить