Официальное опубликование правовых актов
ОФИЦИАЛЬНОЕ ОПУБЛИКОВАНИЕ
Постановление Главного управления архитектуры и градостроительства Рязанской области от 28.07.2025 № 603-п
"Об утверждении генерального плана муниципального образования – Кораблинский муниципальный округ Рязанской области применительно к территории Пехлецкого сельского округа Кораблинского района Рязанской области"
(Зарегистрирован 29.07.2025 № 898)
Номер опубликования: 6201202508010010
Дата опубликования: 01.08.2025
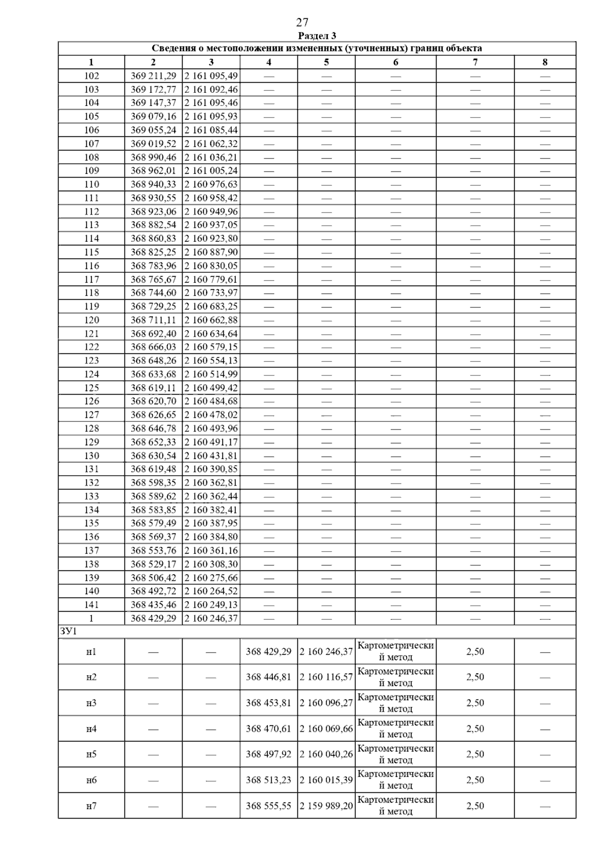
Страница №38 из 43:
Увеличить