Официальное опубликование правовых актов
ОФИЦИАЛЬНОЕ ОПУБЛИКОВАНИЕ
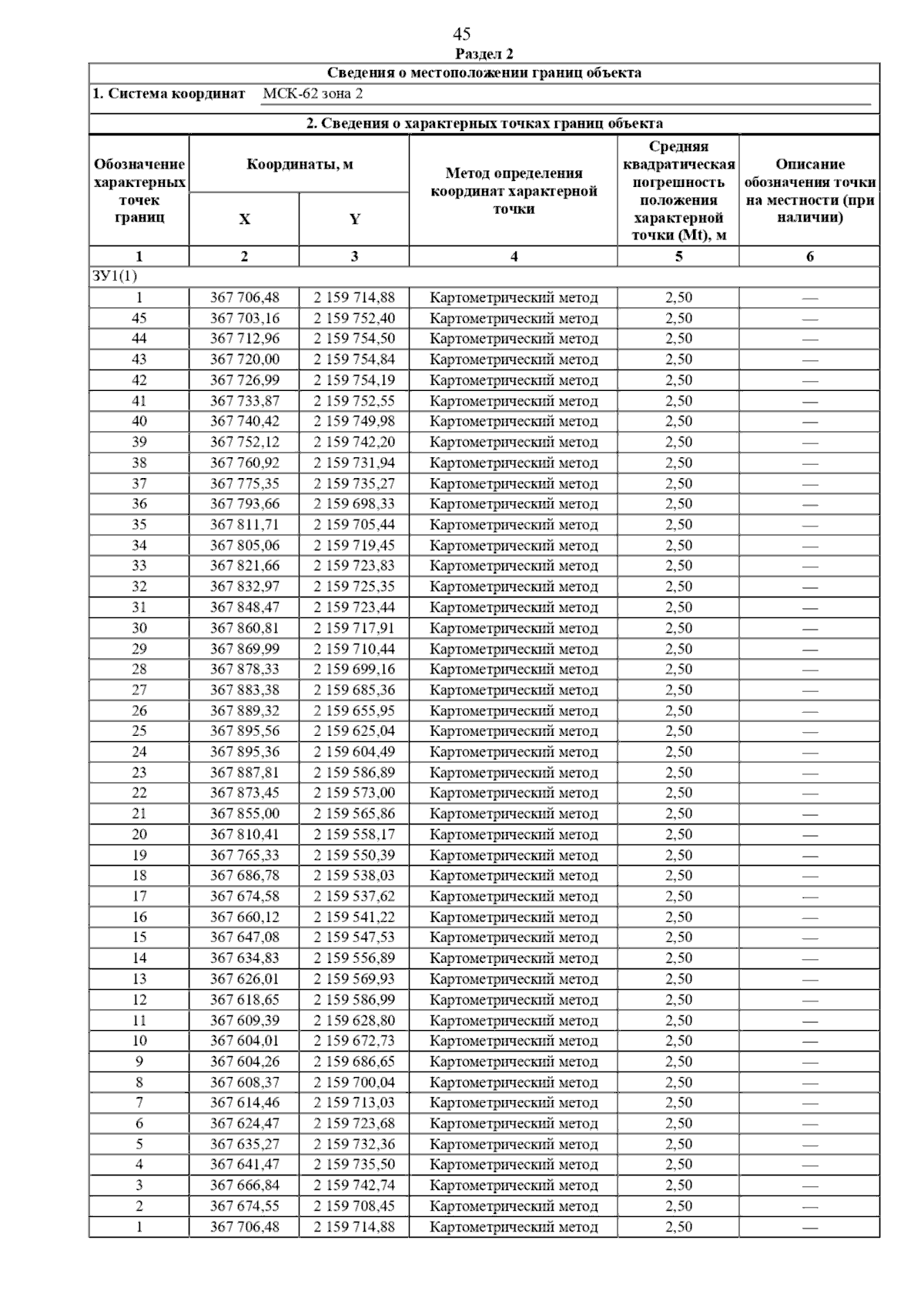
Постановление Главного управления архитектуры и градостроительства Рязанской области от 28.07.2025 № 604-п
"Об утверждении правил землепользования и застройки муниципального образования – Кораблинский муниципальный округ Рязанской области применительно к территории Пехлецкого сельского округа Кораблинского района Рязанской области"
(Зарегистрирован 29.07.2025 № 899)
Номер опубликования: 6201202508010009
Дата опубликования: 01.08.2025
Страница №81 из 86:
Увеличить