Официальное опубликование правовых актов
ОФИЦИАЛЬНОЕ ОПУБЛИКОВАНИЕ
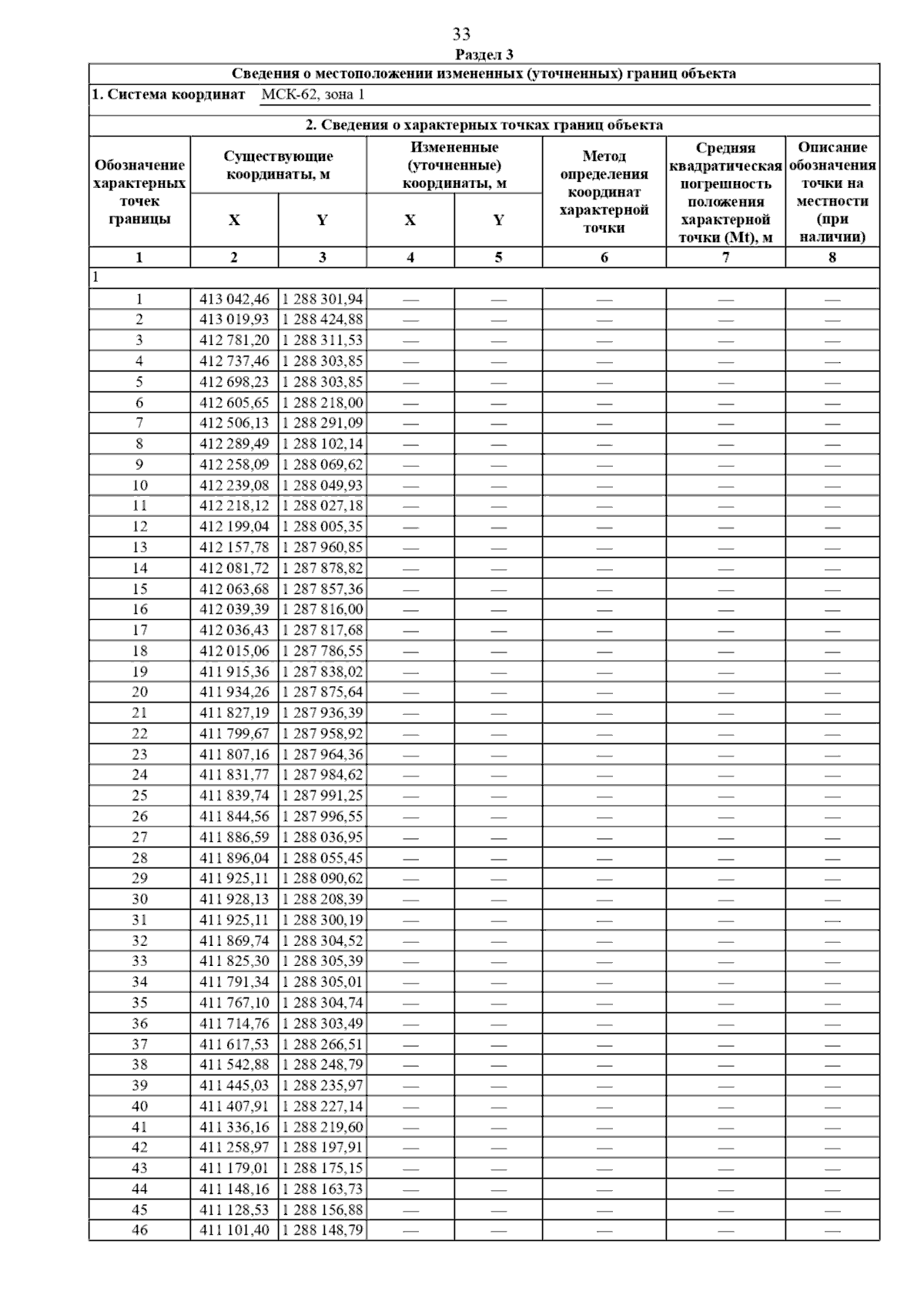
Постановление Главного управления архитектуры и градостроительства Рязанской области от 25.07.2025 № 588-п
"Об утверждении генерального плана муниципального образования –Михайловский муниципальный округ Рязанской области применительно к территориям Каморинского, Виленского и Новопанского сельских округов Михайловского района Рязанской области"
(Зарегистрирован 25.07.2025 № 880)
Номер опубликования: 6201202508010007
Дата опубликования: 01.08.2025
Страница №45 из 69:
Увеличить