Официальное опубликование правовых актов
ОФИЦИАЛЬНОЕ ОПУБЛИКОВАНИЕ
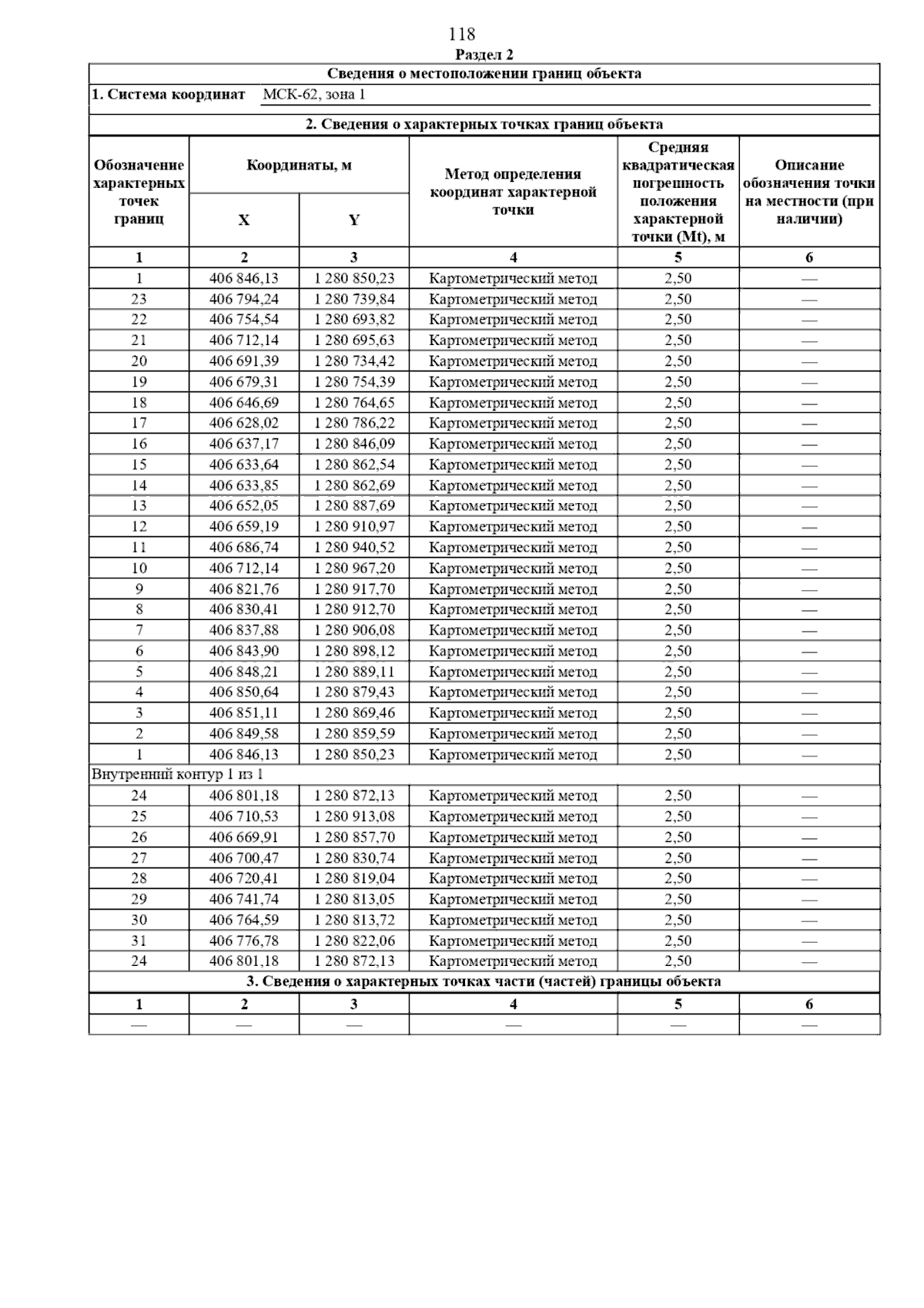
Постановление Главного управления архитектуры и градостроительства Рязанской области от 25.07.2025 № 589-п
"Об утверждении правил землепользования и застройки муниципального образования – Михайловский муниципальный округ Рязанской области применительно к территориям Каморинского, Виленского и Новопанского сельских округов Михайловского района Рязанской области"
(Зарегистрирован 25.07.2025 № 881)
Номер опубликования: 6201202508010006
Дата опубликования: 01.08.2025
Страница №162 из 186:
Увеличить