Официальное опубликование правовых актов
ОФИЦИАЛЬНОЕ ОПУБЛИКОВАНИЕ
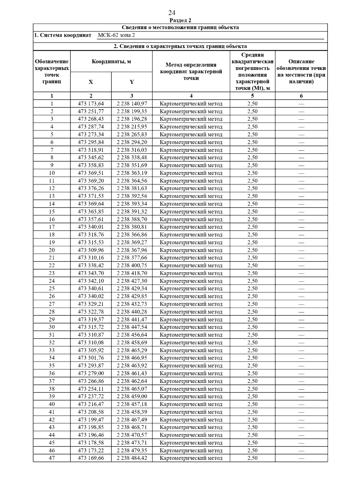
Постановление Главного управления архитектуры и градостроительства Рязанской области от 25.07.2025 № 590-п
"Об утверждении генерального плана муниципального образования – Касимовский муниципальный округ Рязанской области применительно к территории Овчинниковского сельского округа Касимовского района Рязанской области"
(Зарегистрирован 25.07.2025 № 882)
Номер опубликования: 6201202508010001
Дата опубликования: 01.08.2025
Страница №37 из 87:
Увеличить