Официальное опубликование правовых актов
ОФИЦИАЛЬНОЕ ОПУБЛИКОВАНИЕ
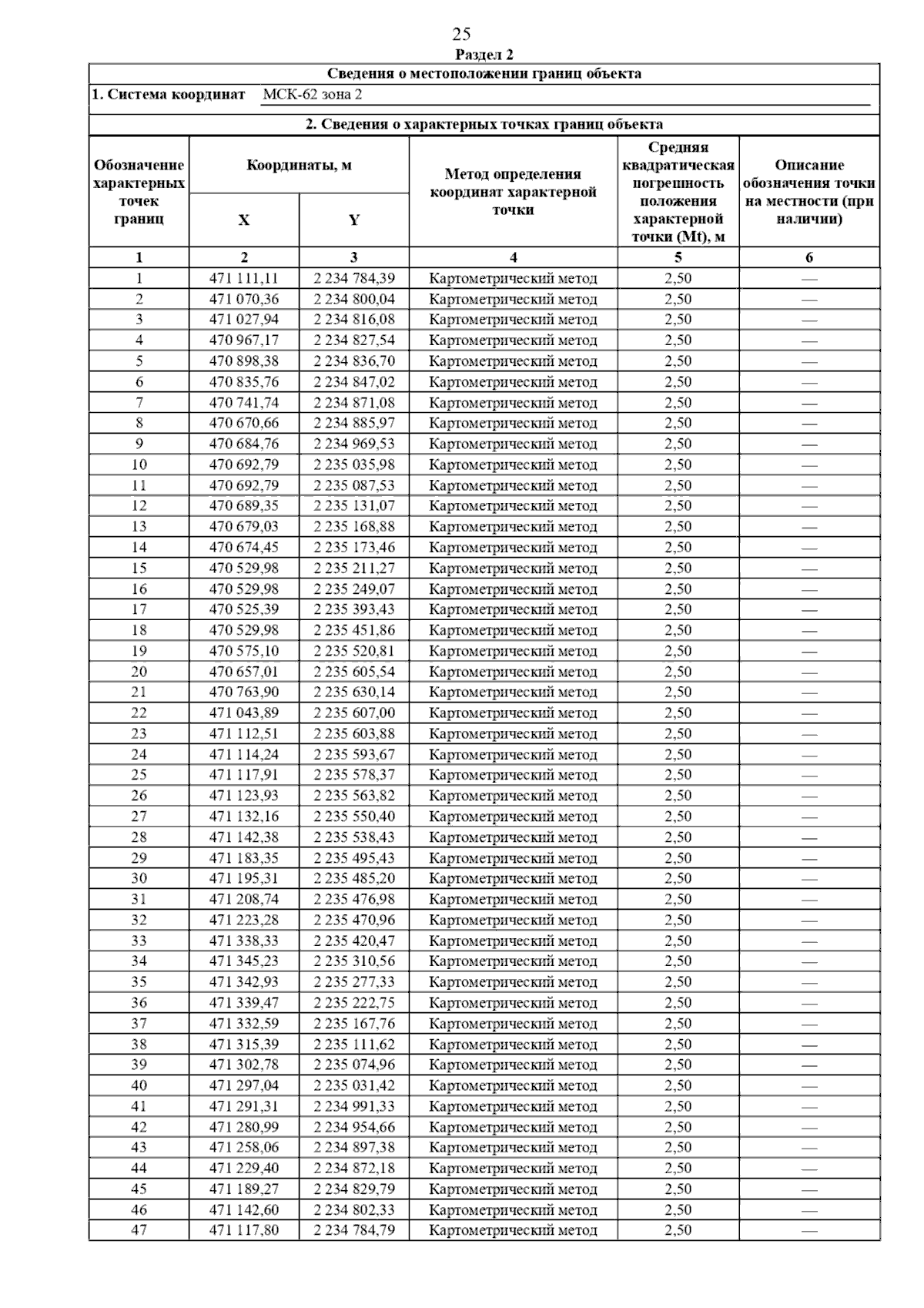
Постановление Главного управления архитектуры и градостроительства Рязанской области от 24.07.2025 № 585-п
"Об утверждении генерального плана муниципального образования – Касимовский муниципальный округ Рязанской области применительно к территориям Лашманского, Крутоярского и Клетинского сельских округов Касимовского района Рязанской области"
(Зарегистрирован 24.07.2025 № 875)
Номер опубликования: 6201202507310002
Дата опубликования: 31.07.2025
Страница №39 из 67:
Увеличить