Официальное опубликование правовых актов
ОФИЦИАЛЬНОЕ ОПУБЛИКОВАНИЕ
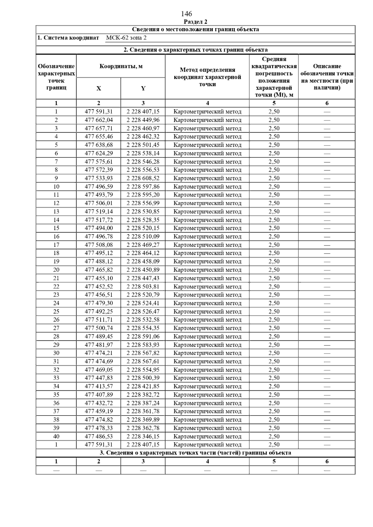
Постановление Главного управления архитектуры и градостроительства Рязанской области от 24.07.2025 № 586-п
"Об утверждении правил землепользования и застройки муниципального образования – Касимовский муниципальный округ Рязанской области применительно к территориям Лашманского, Крутоярского и Клетинского сельских округов Касимовского района Рязанской области"
(Зарегистрирован 24.07.2025 № 876)
Номер опубликования: 6201202507310001
Дата опубликования: 31.07.2025
Страница №190 из 215:
Увеличить