Официальное опубликование правовых актов
ОФИЦИАЛЬНОЕ ОПУБЛИКОВАНИЕ
Постановление Главного управления архитектуры и градостроительства Рязанской области от 23.07.2025 № 580-п
"Об утверждении правил землепользования и застройки муниципального образования – Кораблинский муниципальный округ Рязанской области применительно к территории Бобровинского сельского округа Кораблинского района Рязанской области"
(Зарегистрирован 23.07.2025 № 869)
Номер опубликования: 6201202507290002
Дата опубликования: 29.07.2025
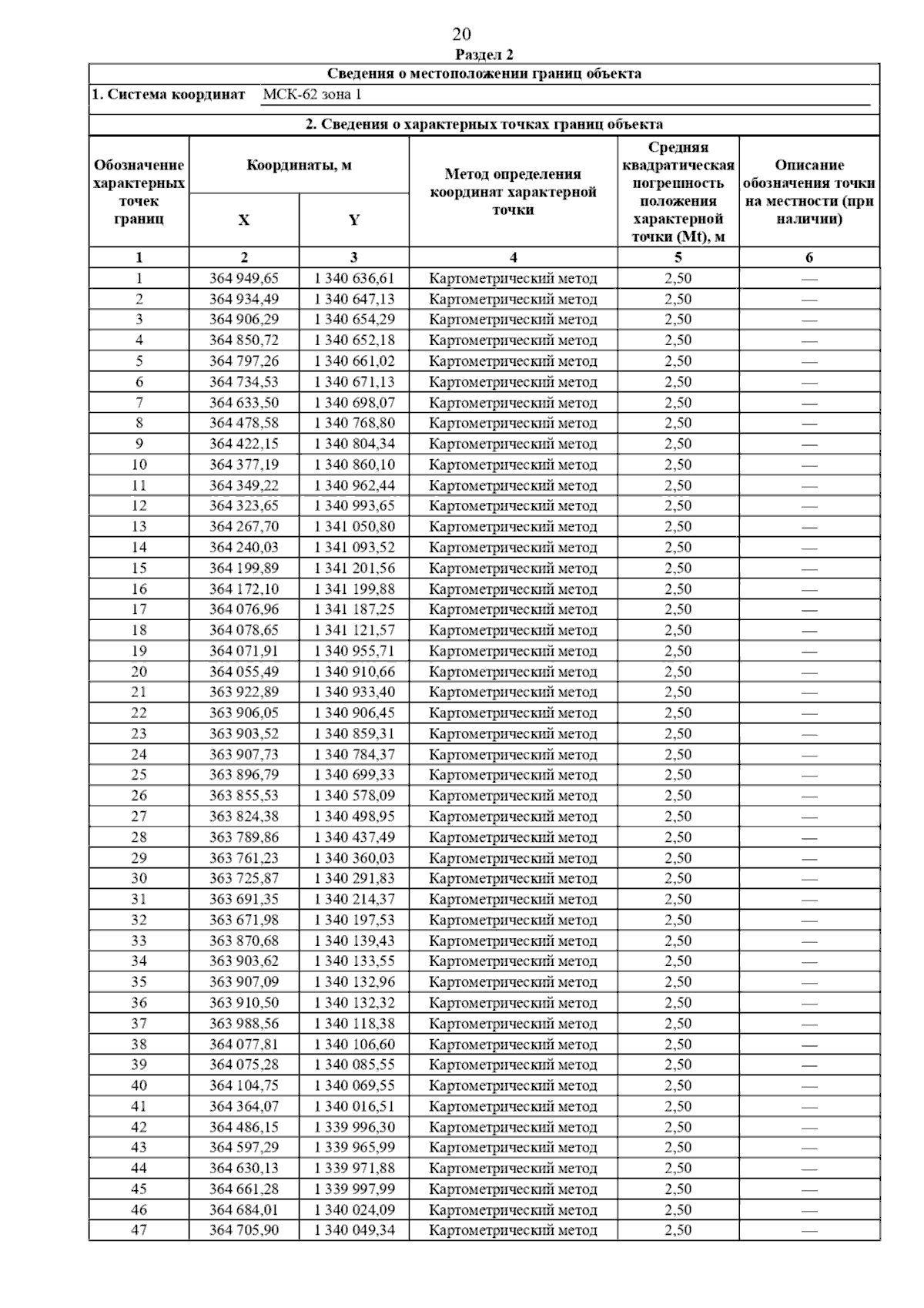
Страница №53 из 125:
Увеличить