Официальное опубликование правовых актов
ОФИЦИАЛЬНОЕ ОПУБЛИКОВАНИЕ
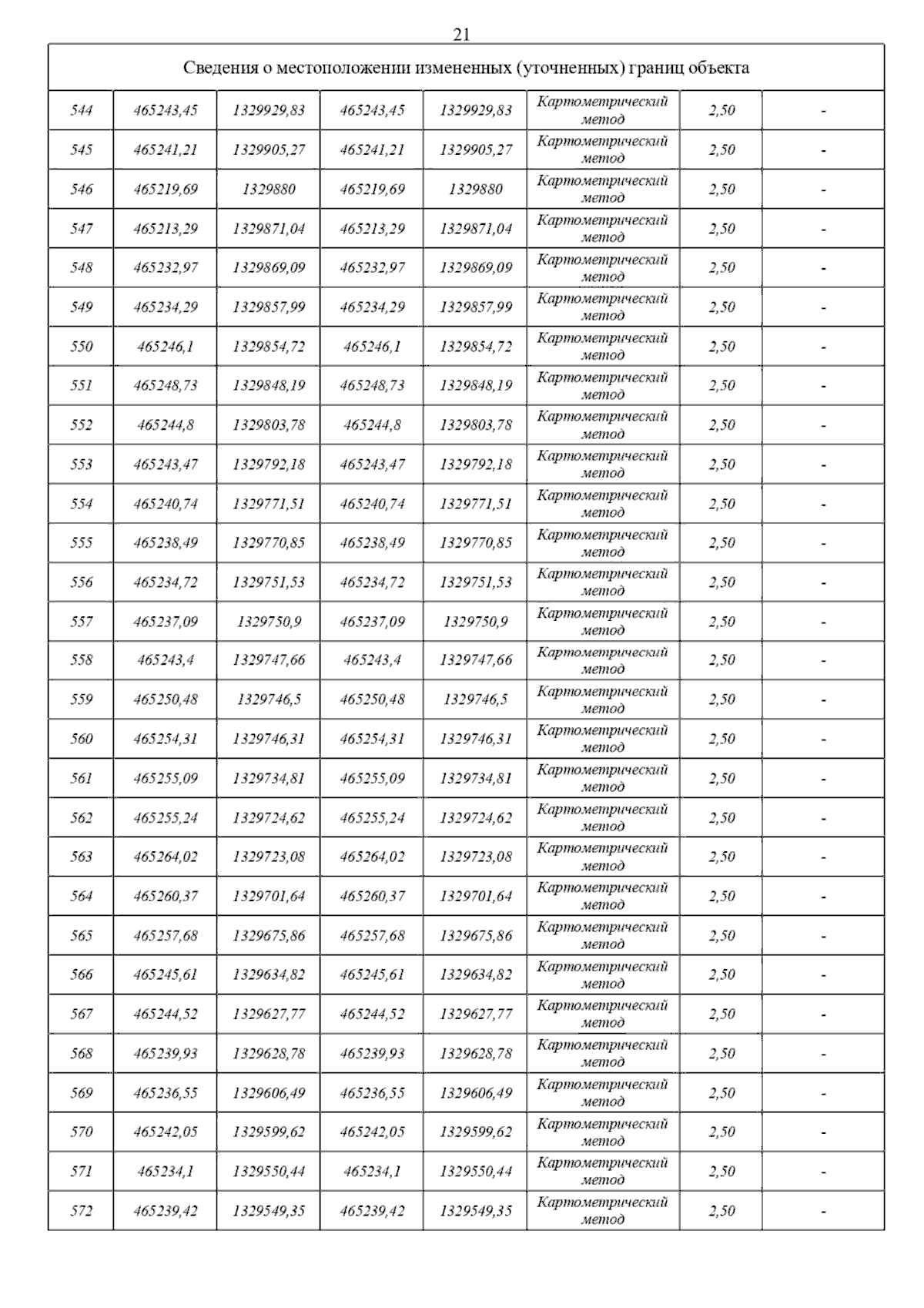
Постановление Главного управления архитектуры и градостроительства Рязанской области от 18.07.2025 № 572-п
"О внесении изменений в правила землепользования и застройки муниципального образования – Пощуповское сельское поселение Рыбновского муниципального района Рязанской области"
(Зарегистрирован 18.07.2025 № 857)
Номер опубликования: 6201202507220009
Дата опубликования: 22.07.2025
Страница №85 из 102:
Увеличить