Официальное опубликование правовых актов
ОФИЦИАЛЬНОЕ ОПУБЛИКОВАНИЕ
Постановление Главного управления архитектуры и градостроительства Рязанской области от 18.07.2025 № 573-п
"О внесении изменений в правила землепользования и застройки муниципального образования – Ухоловское городское поселение Ухоловского муниципального района Рязанской области"
(Зарегистрирован 18.07.2025 № 858)
Номер опубликования: 6201202507220008
Дата опубликования: 22.07.2025
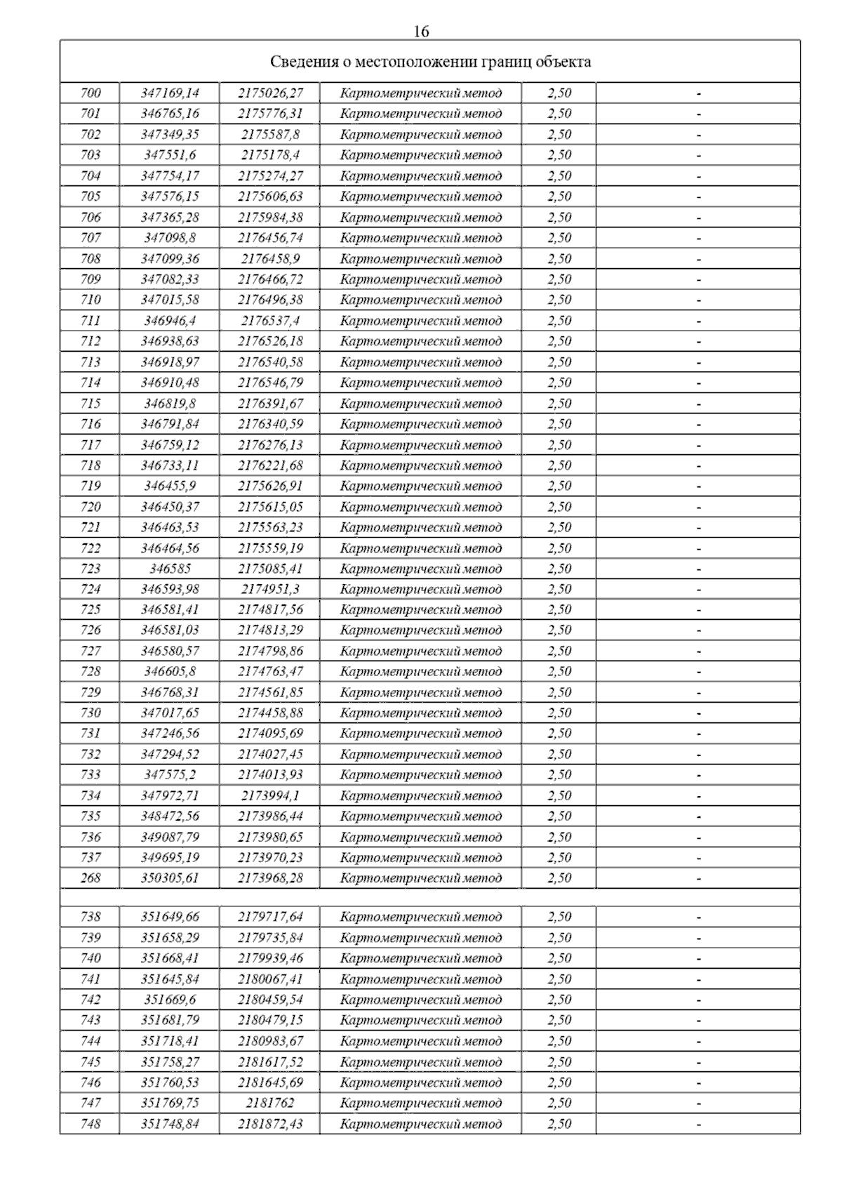
Страница №18 из 59:
Увеличить