Официальное опубликование правовых актов
ОФИЦИАЛЬНОЕ ОПУБЛИКОВАНИЕ
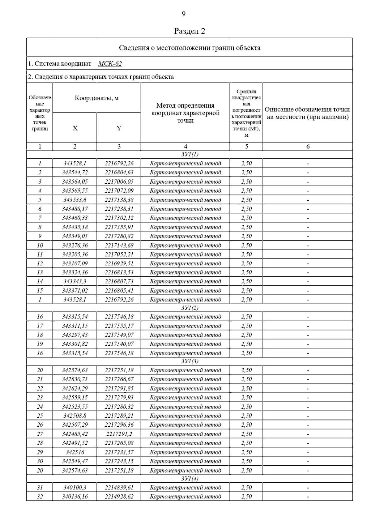
Постановление Главного управления архитектуры и градостроительства Рязанской области от 14.07.2025 № 560-п
"О внесении изменений в правила землепользования и застройки муниципального образования – Сараевское городское поселение Сараевского муниципального района Рязанской области"
(Зарегистрирован 15.07.2025 № 842)
Номер опубликования: 6201202507180003
Дата опубликования: 18.07.2025
Страница №11 из 121:
Увеличить