Официальное опубликование правовых актов
ОФИЦИАЛЬНОЕ ОПУБЛИКОВАНИЕ
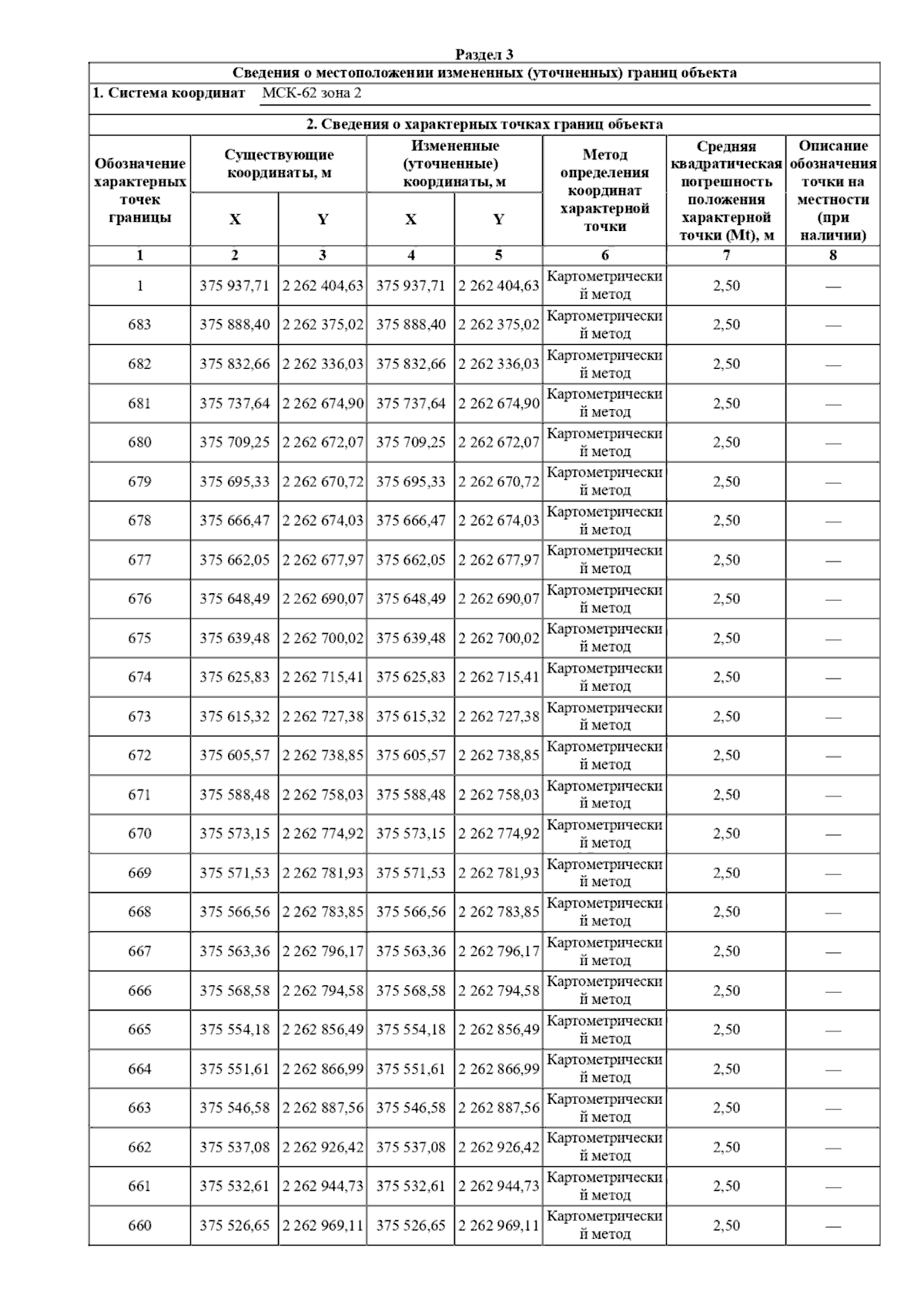
Постановление Главного управления архитектуры и градостроительства Рязанской области от 14.07.2025 № 561-п
"О внесении изменений в генеральный план муниципального образования – Казачинское сельское поселение Шацкого муниципального района Рязанской области"
(Зарегистрирован 15.07.2025 № 843)
Номер опубликования: 6201202507180001
Дата опубликования: 18.07.2025
Страница №8 из 31:
Увеличить