Официальное опубликование правовых актов
ОФИЦИАЛЬНОЕ ОПУБЛИКОВАНИЕ
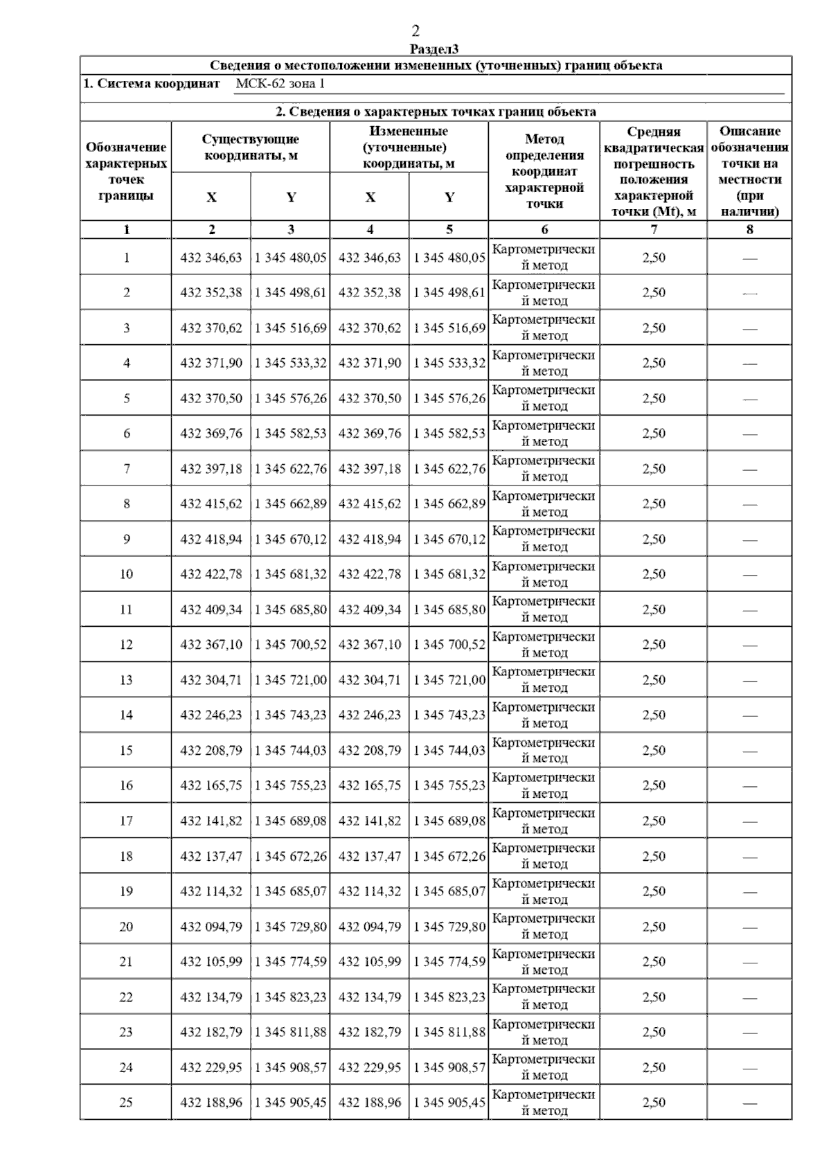
Постановление Главного управления архитектуры и градостроительства Рязанской области от 09.07.2025 № 553-п
"О внесении изменений в правила землепользования и застройки муниципального образования – Вышгородское сельское поселение Рязанского муниципального района Рязанской области"
(Зарегистрирован 10.07.2025 № 834)
Номер опубликования: 6201202507140006
Дата опубликования: 14.07.2025
Страница №4 из 12:
Увеличить