Официальное опубликование правовых актов
ОФИЦИАЛЬНОЕ ОПУБЛИКОВАНИЕ
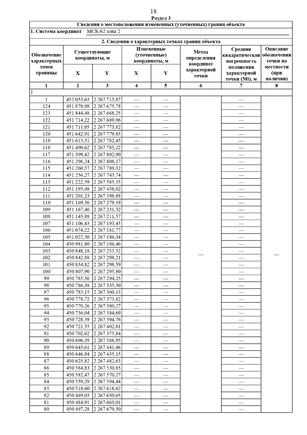
Постановление Главного управления архитектуры и градостроительства Рязанской области от 03.07.2025 № 540-п
"Об утверждении правил землепользования и застройки муниципального образования – Пителинский муниципальный округ Рязанской области применительно к территории Ермо-Николаевского сельского округа Пителинского района Рязанской области"
(Зарегистрирован 04.07.2025 № 815)
Номер опубликования: 6201202507080001
Дата опубликования: 08.07.2025
Страница №53 из 130:
Увеличить