Официальное опубликование правовых актов
ОФИЦИАЛЬНОЕ ОПУБЛИКОВАНИЕ
Постановление Главного управления архитектуры и градостроительства Рязанской области от 27.06.2025 № 519-п
"О внесении изменений в правила землепользования и застройки муниципального образования – Льговское сельское поселение Рязанского муниципального района Рязанской области"
(Зарегистрирован 01.07.2025 № 788)
Номер опубликования: 6201202507020009
Дата опубликования: 02.07.2025
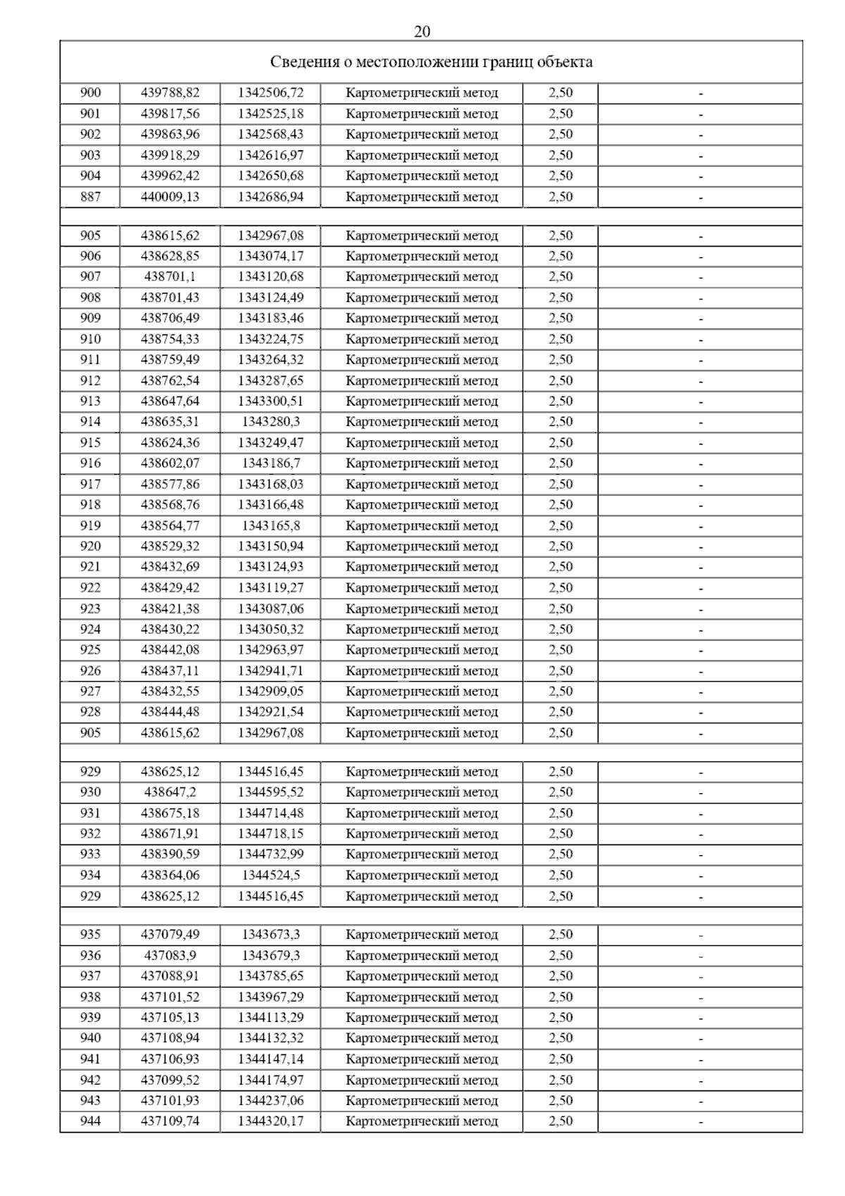
Страница №24 из 40:
Увеличить