Официальное опубликование правовых актов
ОФИЦИАЛЬНОЕ ОПУБЛИКОВАНИЕ
Постановление Главного управления архитектуры и градостроительства Рязанской области от 30.06.2025 № 522-п
"О внесении изменений в генеральный план муниципального образования – Инякинское сельское поселение Шиловского муниципального района Рязанской области"
(Зарегистрирован 01.07.2025 № 791)
Номер опубликования: 6201202507020006
Дата опубликования: 02.07.2025
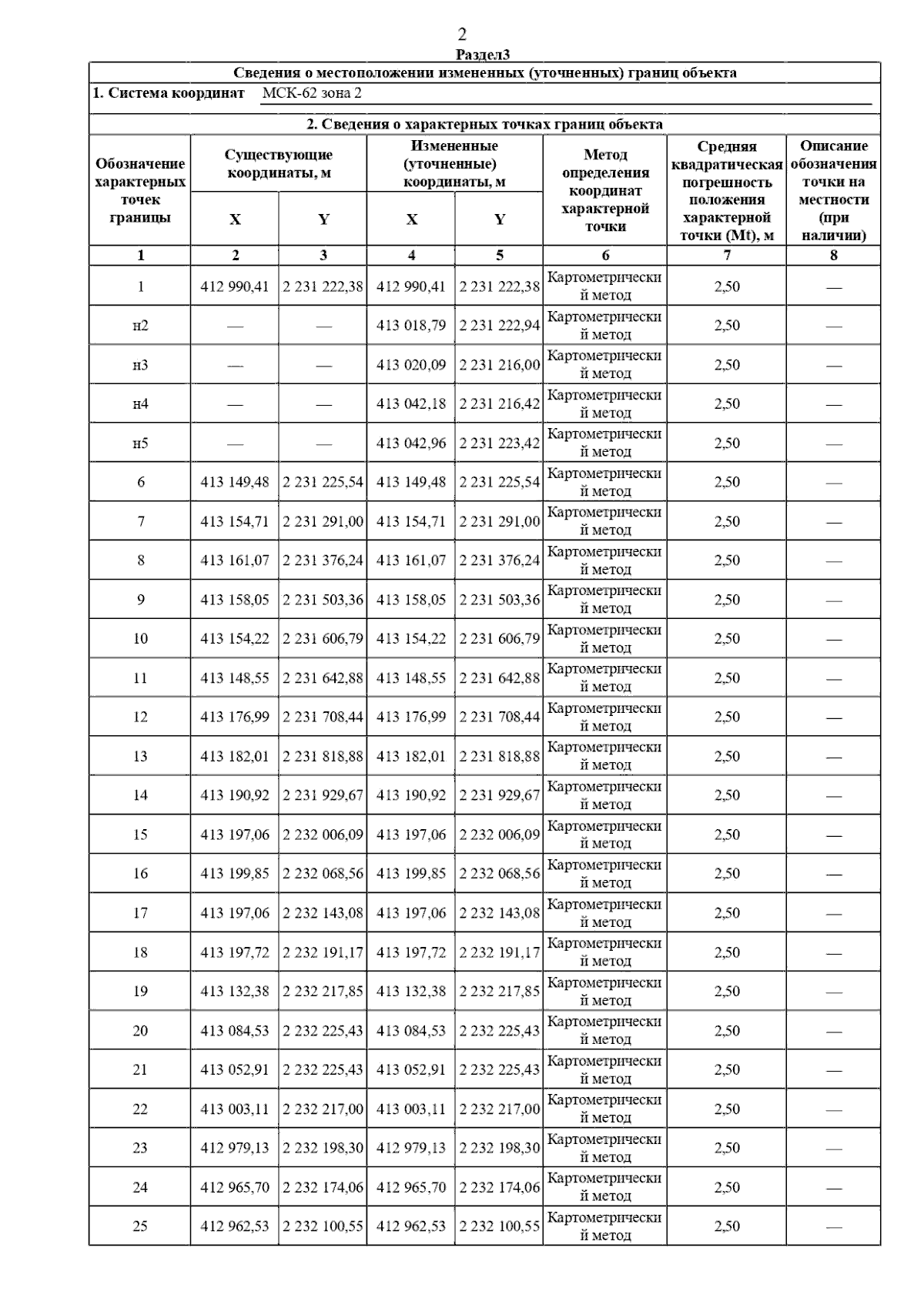
Страница №4 из 6:
Увеличить