Официальное опубликование правовых актов
ОФИЦИАЛЬНОЕ ОПУБЛИКОВАНИЕ
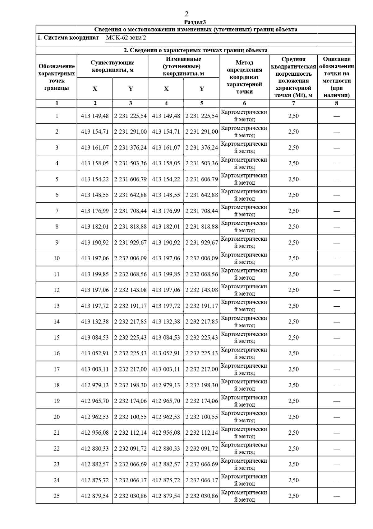
Постановление Главного управления архитектуры и градостроительства Рязанской области от 30.06.2025 № 523-п
"О внесении изменений в правила землепользования и застройки муниципального образования – Инякинское сельское поселение Шиловского муниципального района Рязанской области"
(Зарегистрирован 01.07.2025 № 792)
Номер опубликования: 6201202507020005
Дата опубликования: 02.07.2025
Страница №282 из 284:
Увеличить