Официальное опубликование правовых актов
ОФИЦИАЛЬНОЕ ОПУБЛИКОВАНИЕ
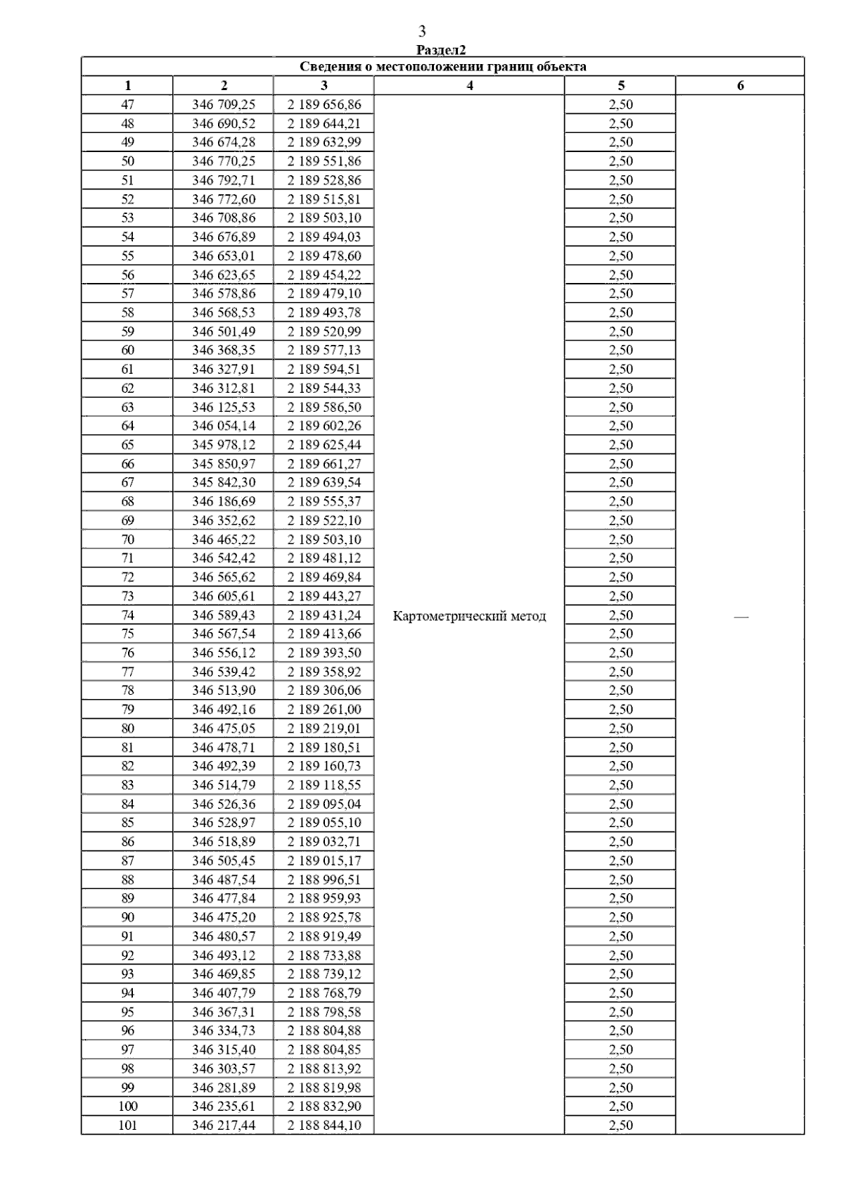
Постановление Главного управления архитектуры и градостроительства Рязанской области от 30.06.2025 № 524-п
"О внесении изменений в правила землепользования и застройки муниципального образования – Калининское сельское поселение Ухоловского муниципального района Рязанской области"
(Зарегистрирован 01.07.2025 № 793)
Номер опубликования: 6201202507020004
Дата опубликования: 02.07.2025
Страница №12 из 14:
Увеличить