Официальное опубликование правовых актов
ОФИЦИАЛЬНОЕ ОПУБЛИКОВАНИЕ
Постановление Главного управления архитектуры и градостроительства Рязанской области от 24.06.2025 № 510-п
"О внесении изменений в правила землепользования и застройки муниципального образования – Аладьинское сельское поселение Чучковского муниципального района Рязанской области"
(Зарегистрирован 25.06.2025 № 774)
Номер опубликования: 6201202506300008
Дата опубликования: 30.06.2025
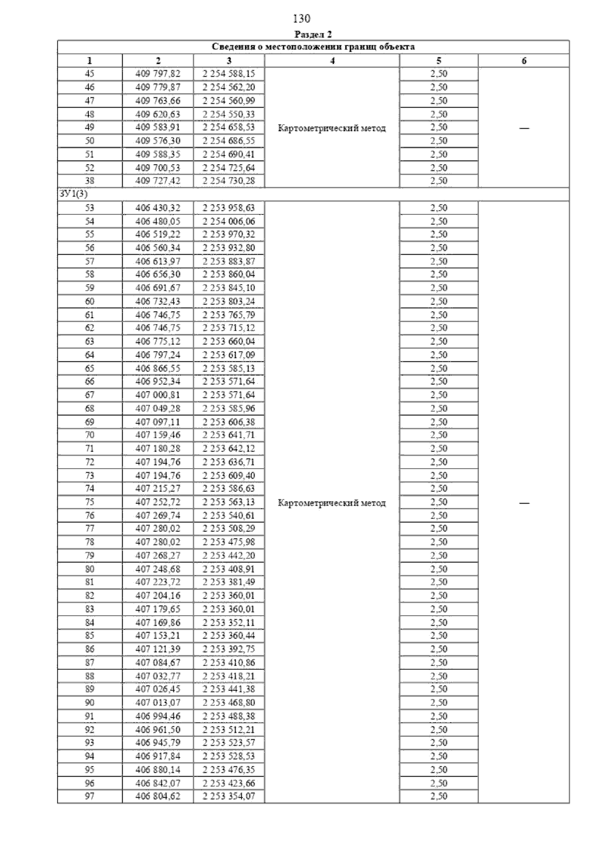
Страница №152 из 174:
Увеличить