Официальное опубликование правовых актов
ОФИЦИАЛЬНОЕ ОПУБЛИКОВАНИЕ
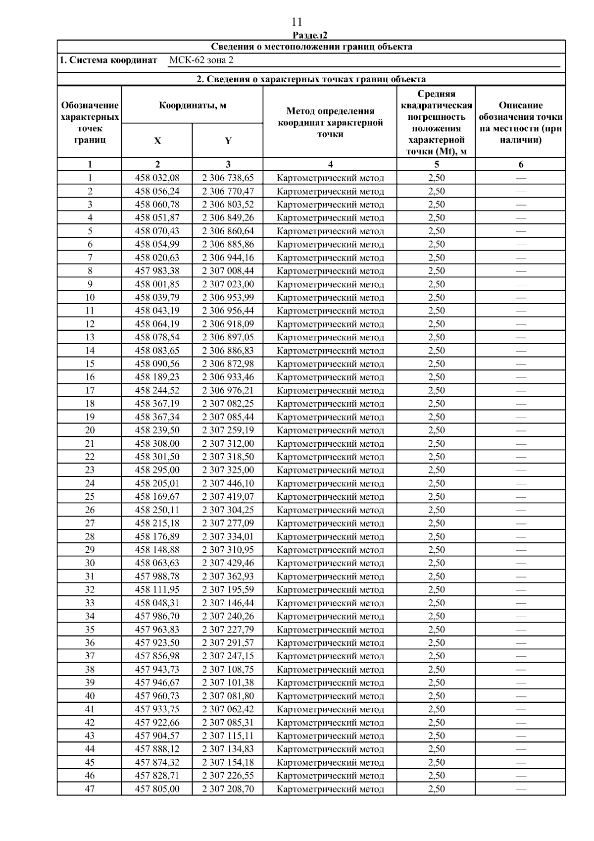
Постановление Главного управления архитектуры и градостроительства Рязанской области от 26.06.2025 № 515-п
"О внесении изменений в правила землепользования и застройки муниципального образования – Надежкинское сельское поселение Ермишинского муниципального района Рязанской области"
(Зарегистрирован 27.06.2025 № 783)
Номер опубликования: 6201202506300002
Дата опубликования: 30.06.2025
Страница №26 из 153:
Увеличить