Официальное опубликование правовых актов
ОФИЦИАЛЬНОЕ ОПУБЛИКОВАНИЕ
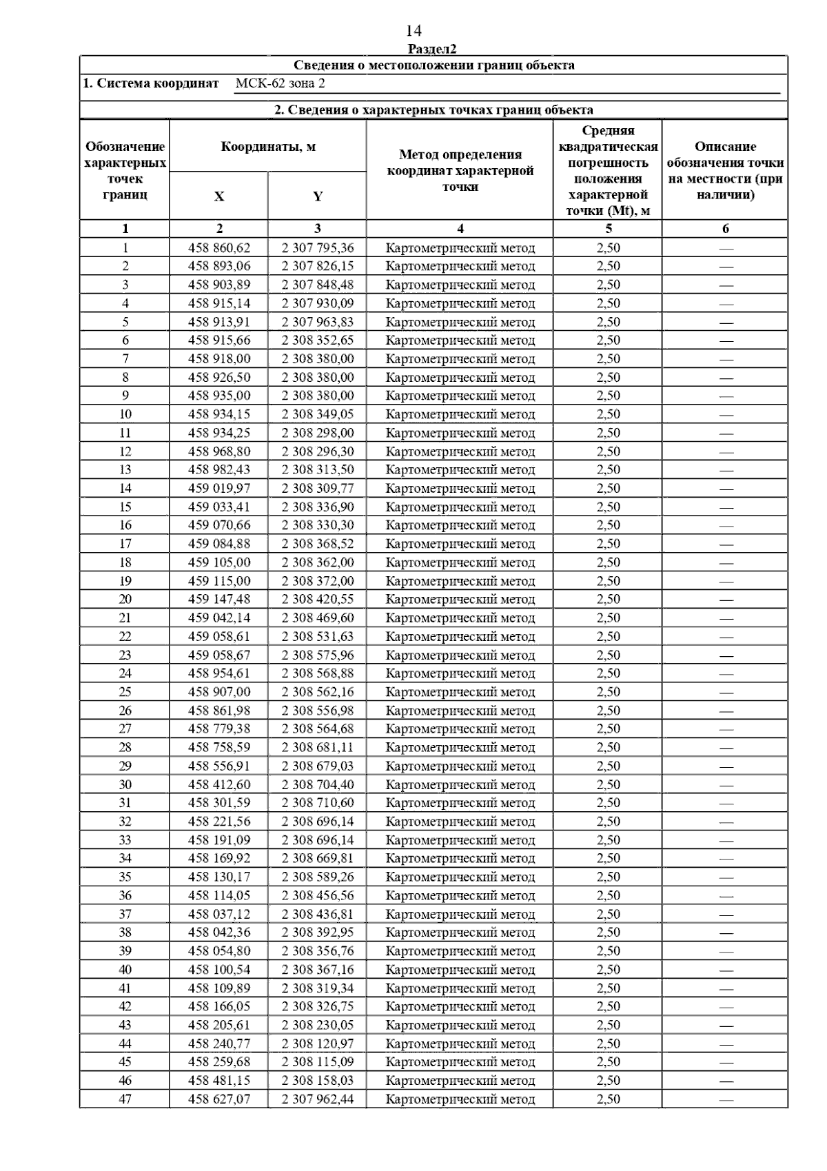
Постановление Главного управления архитектуры и градостроительства Рязанской области от 24.06.2025 № 494-п
"Об утверждении изменения в генеральный план муниципального образования – Надежкинское сельское поселение Ермишинского муниципального района Рязанской области"
(Зарегистрирован 25.06.2025 № 758)
Номер опубликования: 6201202506270006
Дата опубликования: 27.06.2025
Страница №16 из 30:
Увеличить