Официальное опубликование правовых актов
ОФИЦИАЛЬНОЕ ОПУБЛИКОВАНИЕ
Постановление Главного управления архитектуры и градостроительства Рязанской области от 20.06.2025 № 487-п
"О внесении изменений в правила землепользования и застройки муниципального образования – Окское сельское поселение Рязанского муниципального района Рязанской области"
(Зарегистрирован 20.06.2025 № 745)
Номер опубликования: 6201202506250001
Дата опубликования: 25.06.2025
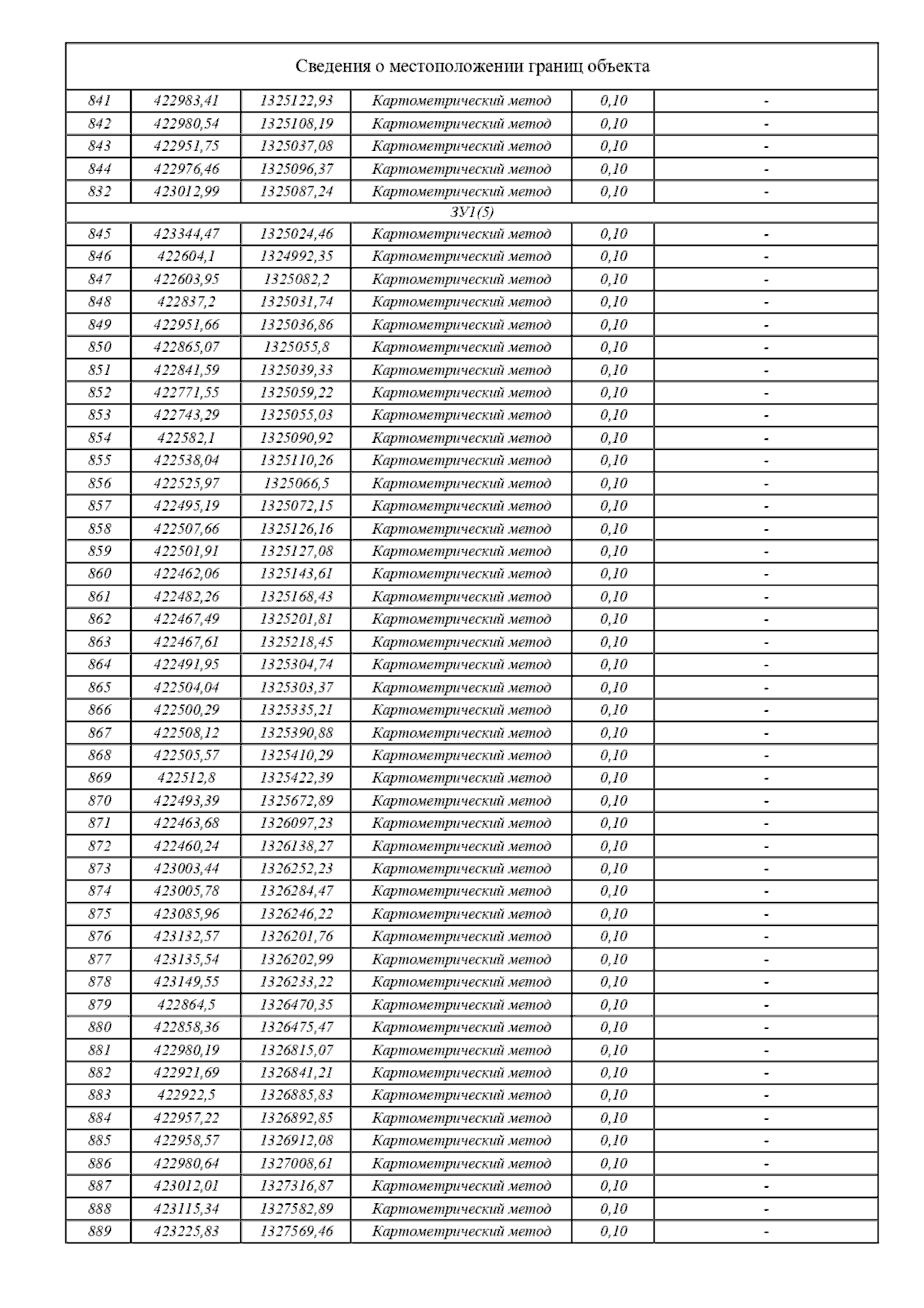
Страница №23 из 167:
Увеличить