Официальное опубликование правовых актов
ОФИЦИАЛЬНОЕ ОПУБЛИКОВАНИЕ
Постановление Главного управления архитектуры и градостроительства Рязанской области от 16.06.2025 № 471-п
"Об утверждении генерального плана муниципального образования –Пителинский муниципальный округ Рязанской области применительно к территориям рабочего поселка Пителино с прилегающей территорией, Пеньковского и Потапьевского сельских округов Пителинского района Рязанской области"
(Зарегистрирован 17.06.2025 № 725)
Номер опубликования: 6201202506190009
Дата опубликования: 19.06.2025
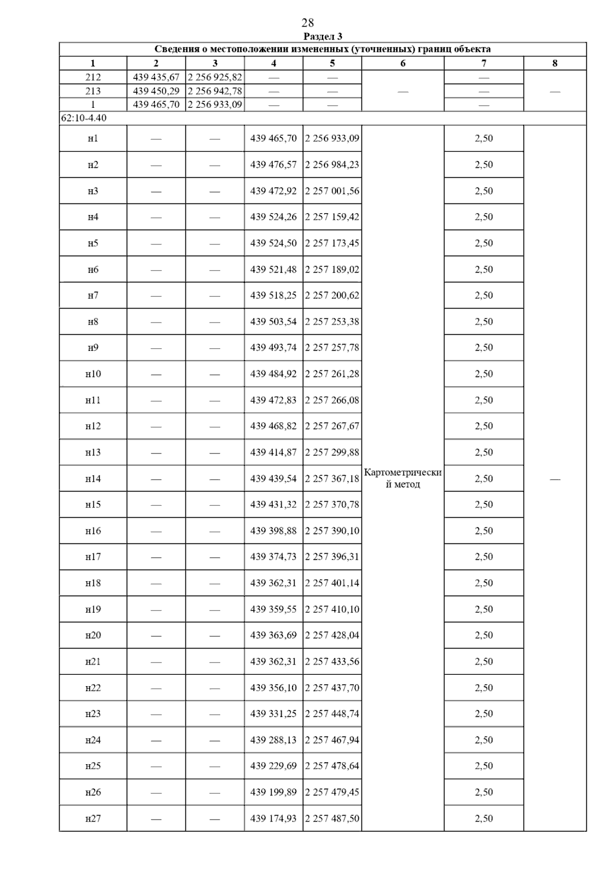
Страница №40 из 197:
Увеличить