Официальное опубликование правовых актов
ОФИЦИАЛЬНОЕ ОПУБЛИКОВАНИЕ
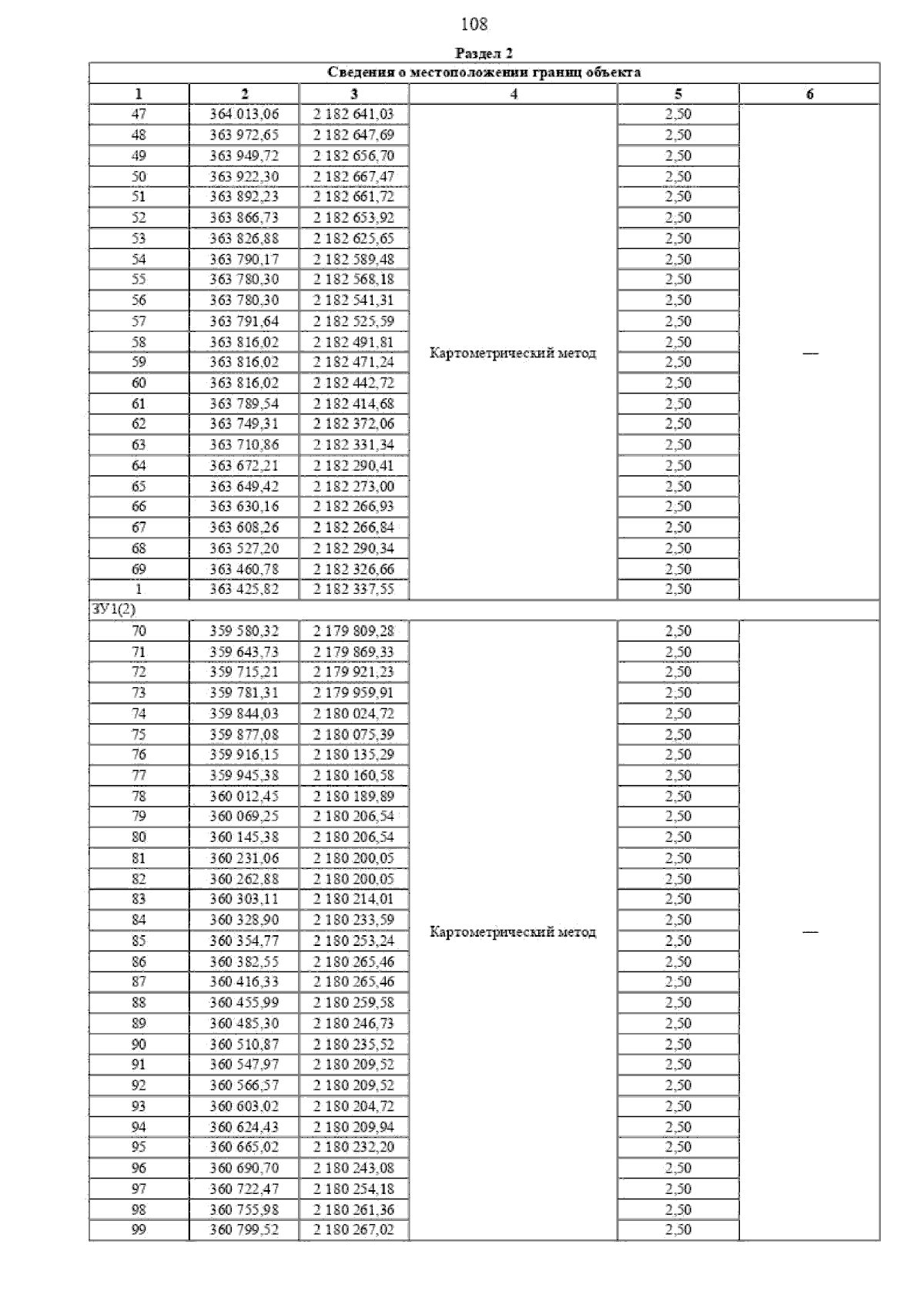
Постановление Главного управления архитектуры и градостроительства Рязанской области от 09.06.2025 № 455-п
"О внесении изменений в правила землепользования и застройки муниципального образования – Ольховское сельское поселение Ухоловского муниципального района Рязанской области"
(Зарегистрирован 10.06.2025 № 701)
Номер опубликования: 6201202506170015
Дата опубликования: 17.06.2025
Страница №125 из 151:
Увеличить