Официальное опубликование правовых актов
ОФИЦИАЛЬНОЕ ОПУБЛИКОВАНИЕ
Постановление Главного управления архитектуры и градостроительства Рязанской области от 10.06.2025 № 459-п
"О внесении изменения в генеральный план муниципального образования – Павелецкое городское поселение Скопинского муниципального района Рязанской области"
(Зарегистрирован 11.06.2025 № 710)
Номер опубликования: 6201202506170011
Дата опубликования: 17.06.2025
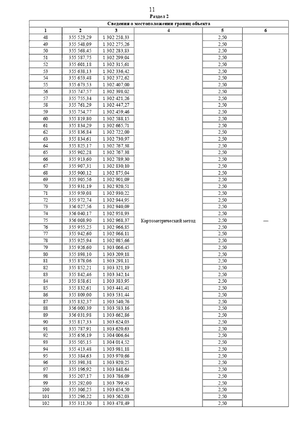
Страница №13 из 18:
Увеличить