Официальное опубликование правовых актов
ОФИЦИАЛЬНОЕ ОПУБЛИКОВАНИЕ
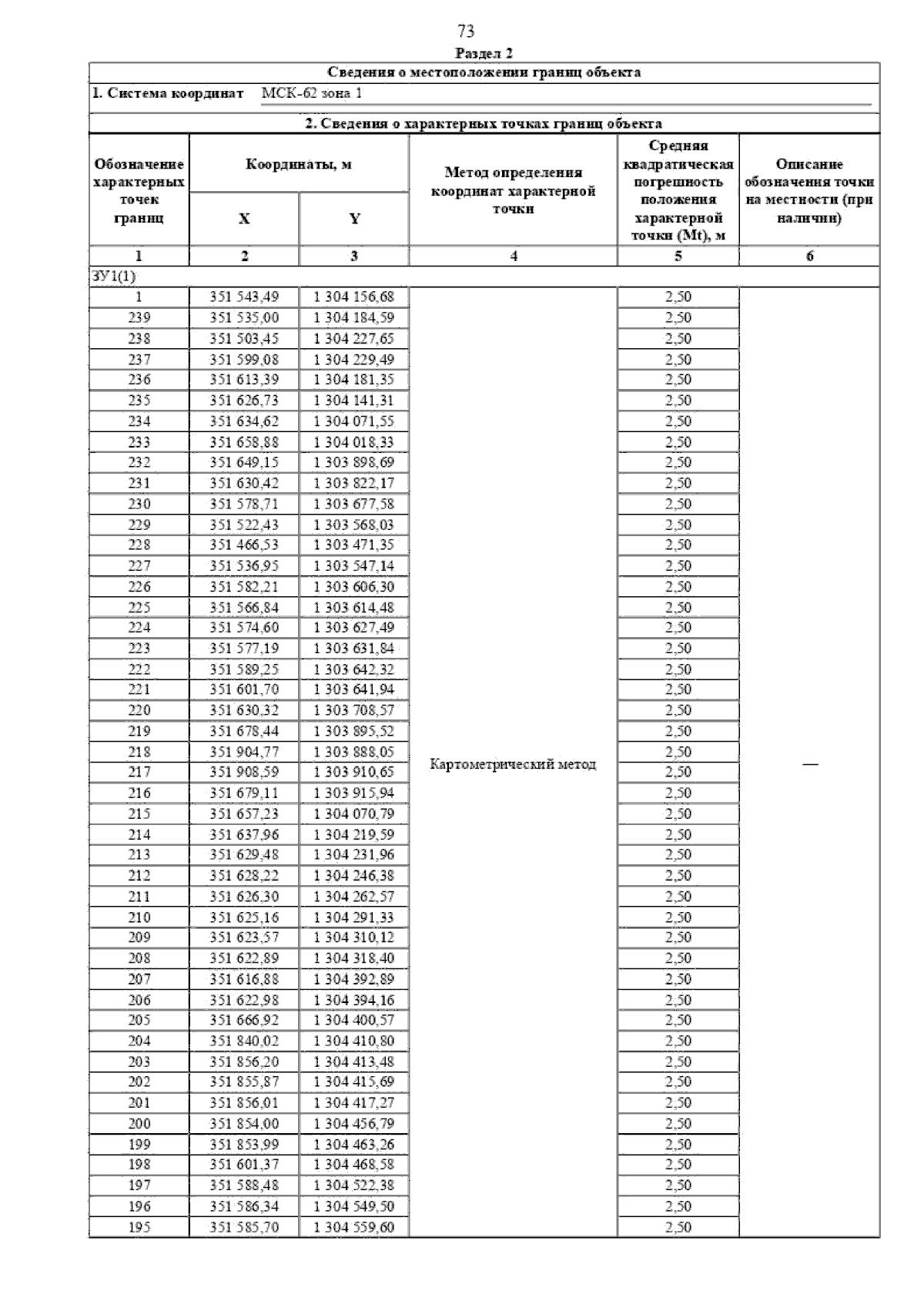
Постановление Главного управления архитектуры и градостроительства Рязанской области от 10.06.2025 № 460-п
"О внесении изменений в правила землепользования и застройки муниципального образования – Павелецкое городское поселение Скопинского муниципального района Рязанской области"
(Зарегистрирован 11.06.2025 № 711)
Номер опубликования: 6201202506170010
Дата опубликования: 17.06.2025
Страница №94 из 221:
Увеличить