Официальное опубликование правовых актов
ОФИЦИАЛЬНОЕ ОПУБЛИКОВАНИЕ
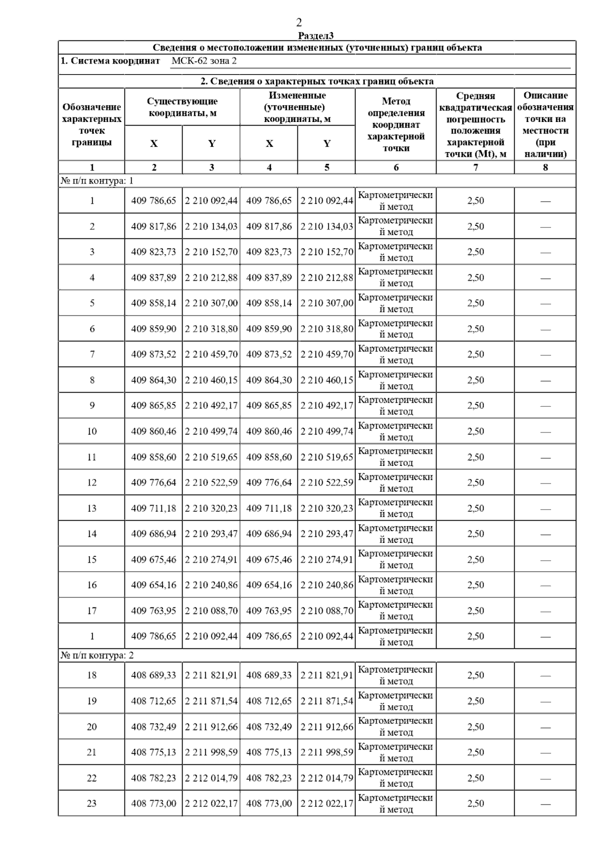
Постановление Главного управления архитектуры и градостроительства Рязанской области от 10.06.2025 № 462-п
"О внесении изменений в правила землепользования и застройки муниципального образования – Шиловское городское поселение Шиловского муниципального района Рязанской области"
(Зарегистрирован 11.06.2025 № 713)
Номер опубликования: 6201202506170008
Дата опубликования: 17.06.2025
Страница №18 из 363:
Увеличить