Официальное опубликование правовых актов
ОФИЦИАЛЬНОЕ ОПУБЛИКОВАНИЕ
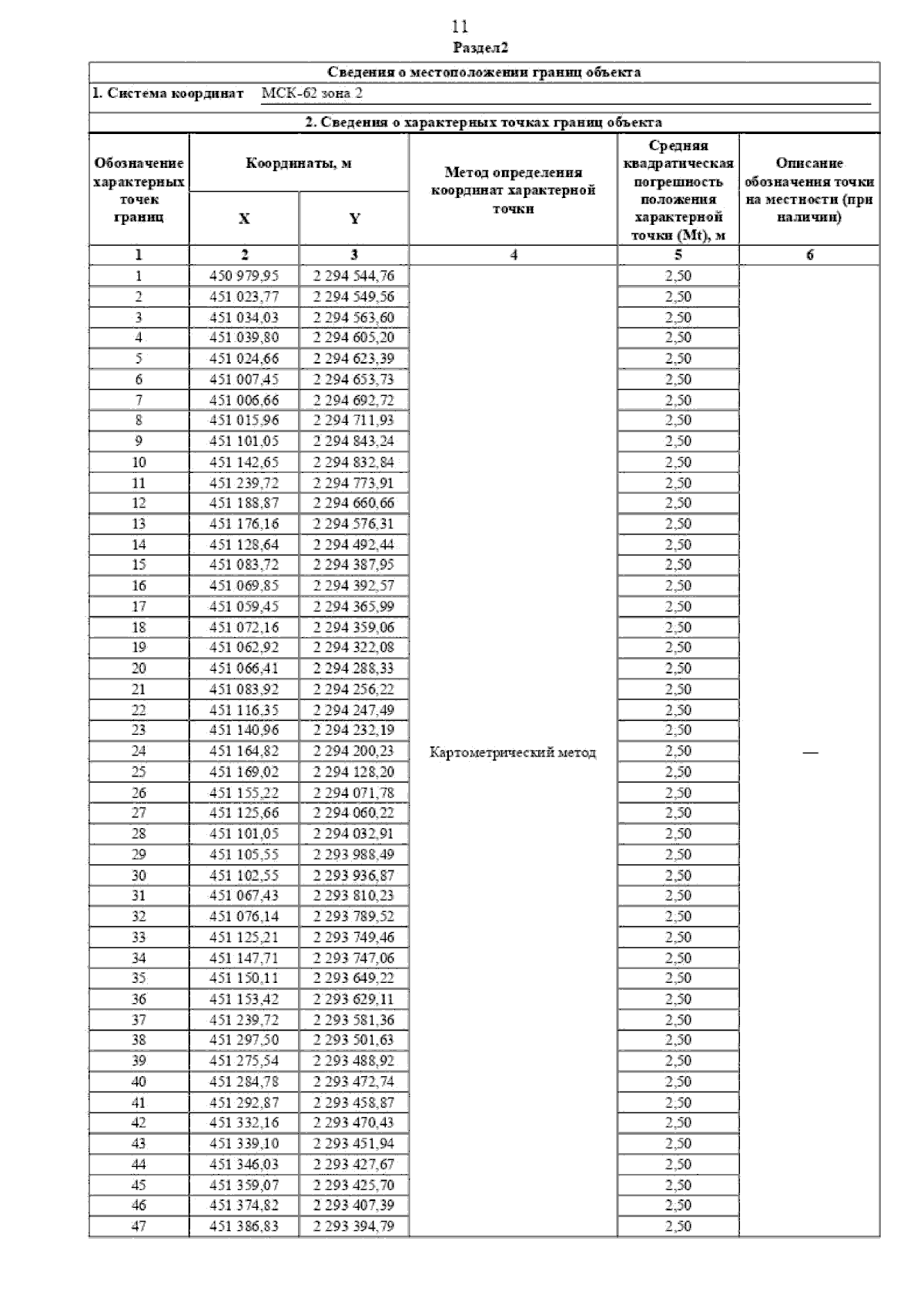
Постановление Главного управления архитектуры и градостроительства Рязанской области от 09.06.2025 № 452-п
"О внесении изменения в генеральный план муниципального образования – Савватемское сельское поселение Ермишинского муниципального района Рязанской области"
(Зарегистрирован 10.06.2025 № 698)
Номер опубликования: 6201202506170007
Дата опубликования: 17.06.2025
Страница №13 из 23:
Увеличить