Официальное опубликование правовых актов
ОФИЦИАЛЬНОЕ ОПУБЛИКОВАНИЕ
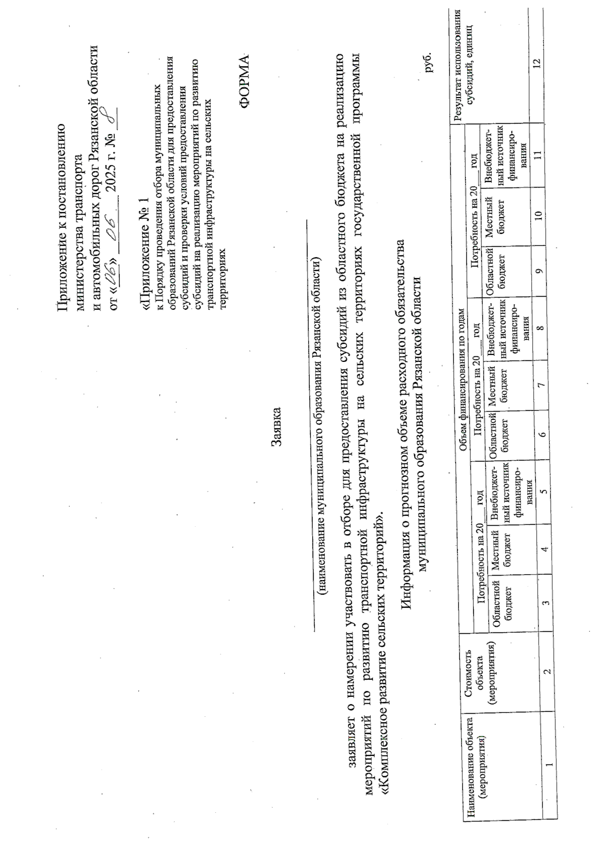
Постановление Министерства транспорта и автомобильных дорог Рязанской области от 06.06.2025 № 8
"О внесении изменений в постановление министерства транспорта и автомобильных дорог Рязанской области от 19 марта 2024 г. № 6 "Об утверждении порядков проведения конкурсных отборов (отборов) муниципальных образований Рязанской области для предоставления субсидий и проверки условий предоставления субсидий, указанных в Приложениях № 5 - № 6 к государственной программе Рязанской области "Комплексное развитие сельских территорий"
(Зарегистрирован 09.06.2025 № 690)
Номер опубликования: 6201202506120004
Дата опубликования: 12.06.2025
Страница №3 из 5:
Увеличить