Официальное опубликование правовых актов
ОФИЦИАЛЬНОЕ ОПУБЛИКОВАНИЕ
Постановление Главного управления архитектуры и градостроительства Рязанской области от 03.06.2025 № 429-п
"Об утверждении генерального плана муниципального образования – Михайловский муниципальный округ Рязанской области применительно к территории Грязновского сельского округа Михайловского района Рязанской области"
(Зарегистрирован 04.06.2025 № 667)
Номер опубликования: 6201202506100008
Дата опубликования: 10.06.2025
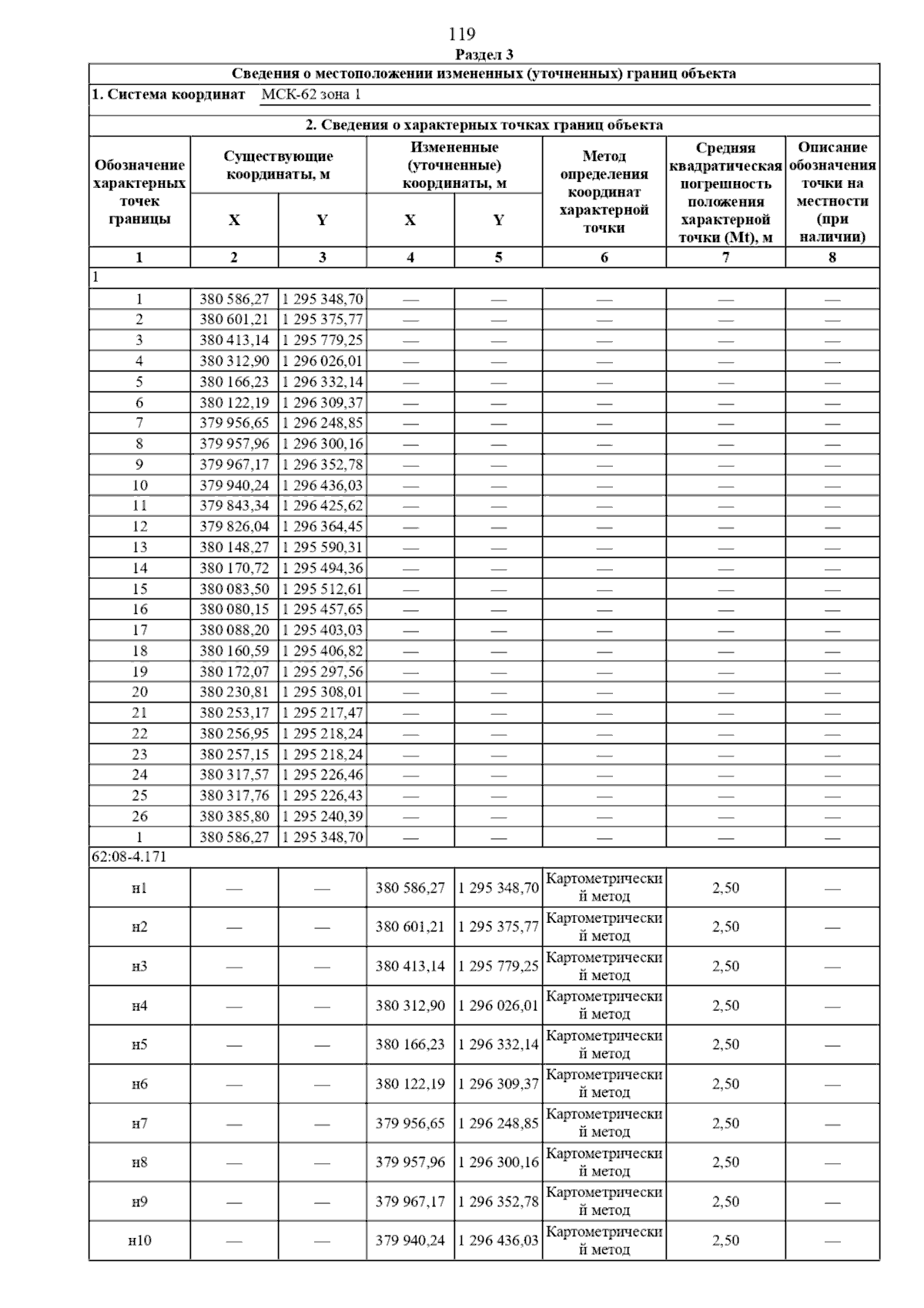
Страница №131 из 147:
Увеличить