Официальное опубликование правовых актов
ОФИЦИАЛЬНОЕ ОПУБЛИКОВАНИЕ
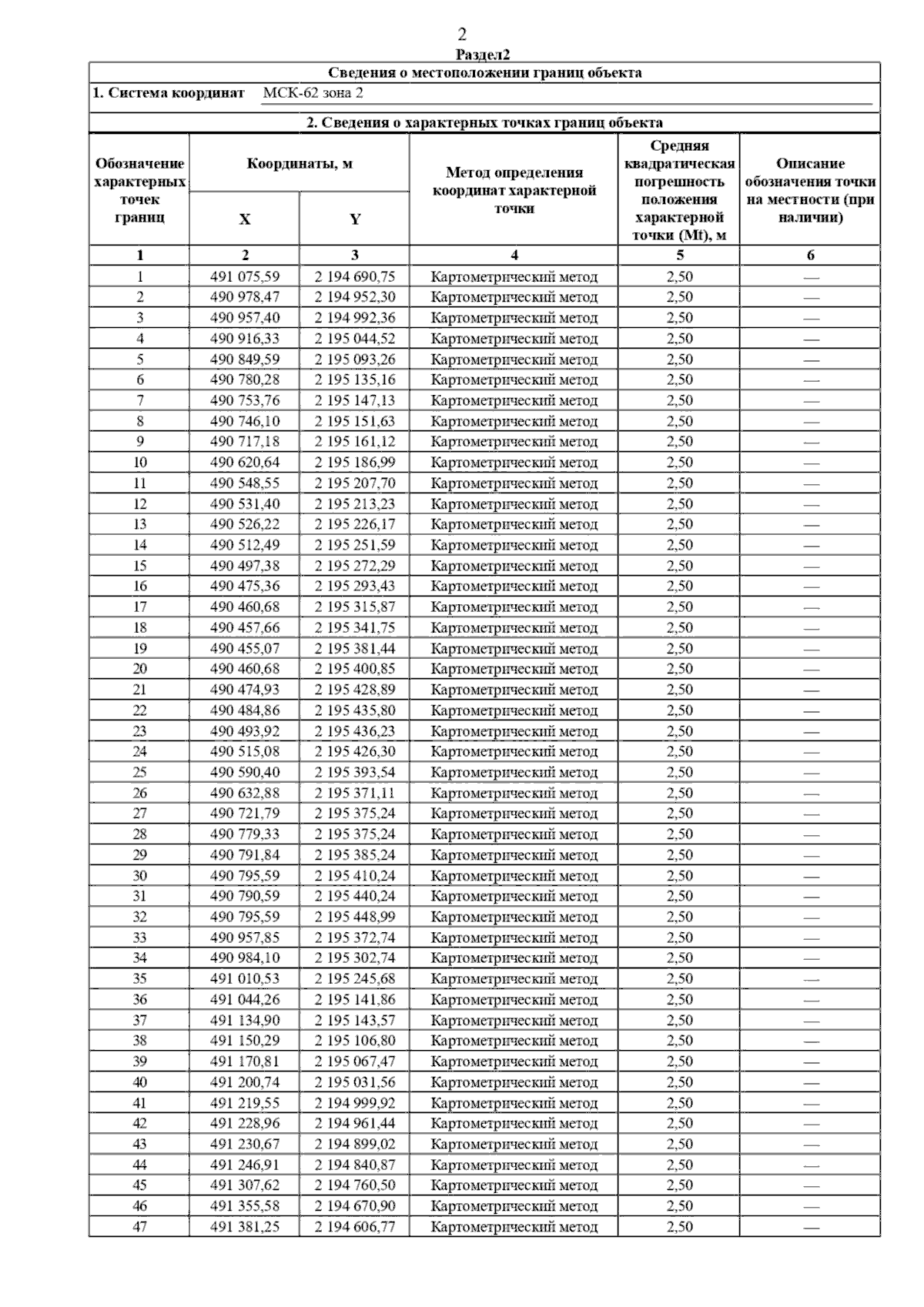
Постановление Главного управления архитектуры и градостроительства Рязанской области от 30.05.2025 № 423-п
"О внесении изменений в генеральный план муниципального образования – Уткинское сельское поселение Клепиковского муниципального района Рязанской области"
(Зарегистрирован 02.06.2025 № 653)
Номер опубликования: 6201202506040002
Дата опубликования: 04.06.2025
Страница №8 из 9:
Увеличить