Официальное опубликование правовых актов
ОФИЦИАЛЬНОЕ ОПУБЛИКОВАНИЕ
Постановление Главного управления архитектуры и градостроительства Рязанской области от 26.05.2025 № 414-п
"Об утверждении генерального плана муниципального образования – Желобовское сельское поселение Сараевского муниципального района Рязанской области"
(Зарегистрирован 27.05.2025 № 637)
Номер опубликования: 6201202505290018
Дата опубликования: 29.05.2025
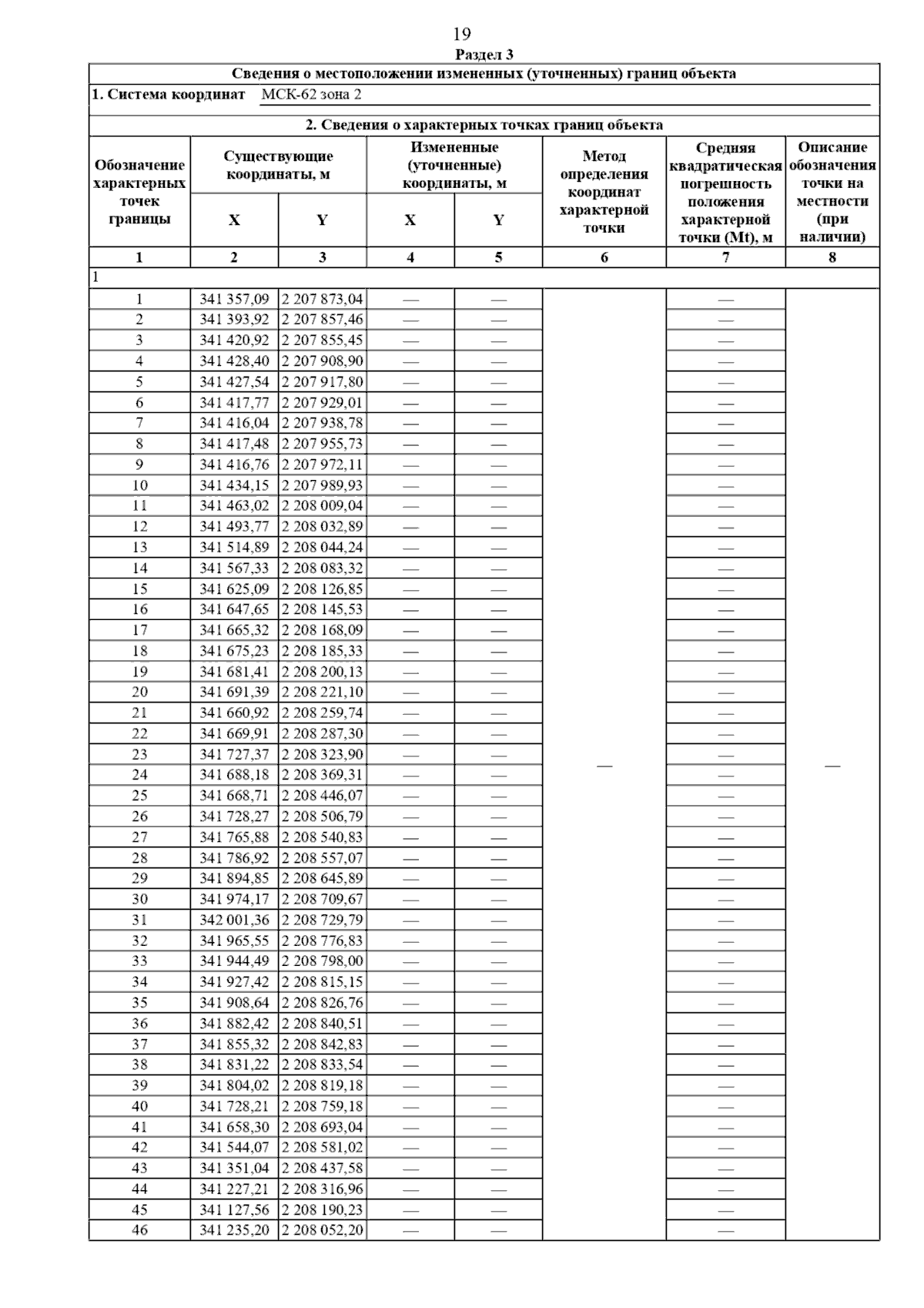
Страница №29 из 95:
Увеличить