Официальное опубликование правовых актов
ОФИЦИАЛЬНОЕ ОПУБЛИКОВАНИЕ
Постановление Главного управления архитектуры и градостроительства Рязанской области от 22.05.2025 № 402-п
"Об утверждении изменений в правила землепользования и застройки муниципального образования - Криушинское сельское поселение Клепиковского муниципального района Рязанской области"
(Зарегистрирован 23.05.2025 № 615)
Номер опубликования: 6201202505270010
Дата опубликования: 27.05.2025
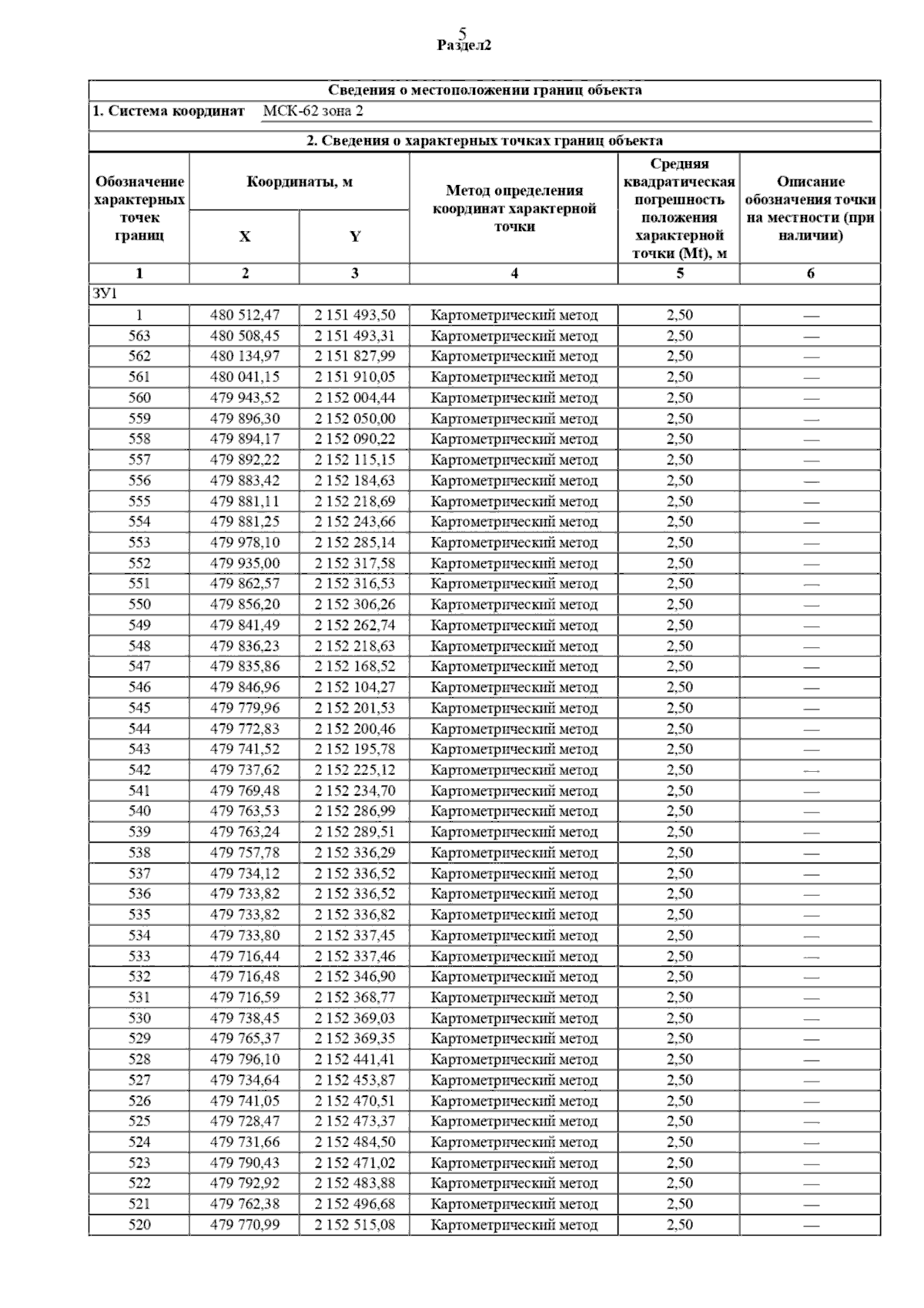
Страница №25 из 86:
Увеличить