Официальное опубликование правовых актов
ОФИЦИАЛЬНОЕ ОПУБЛИКОВАНИЕ
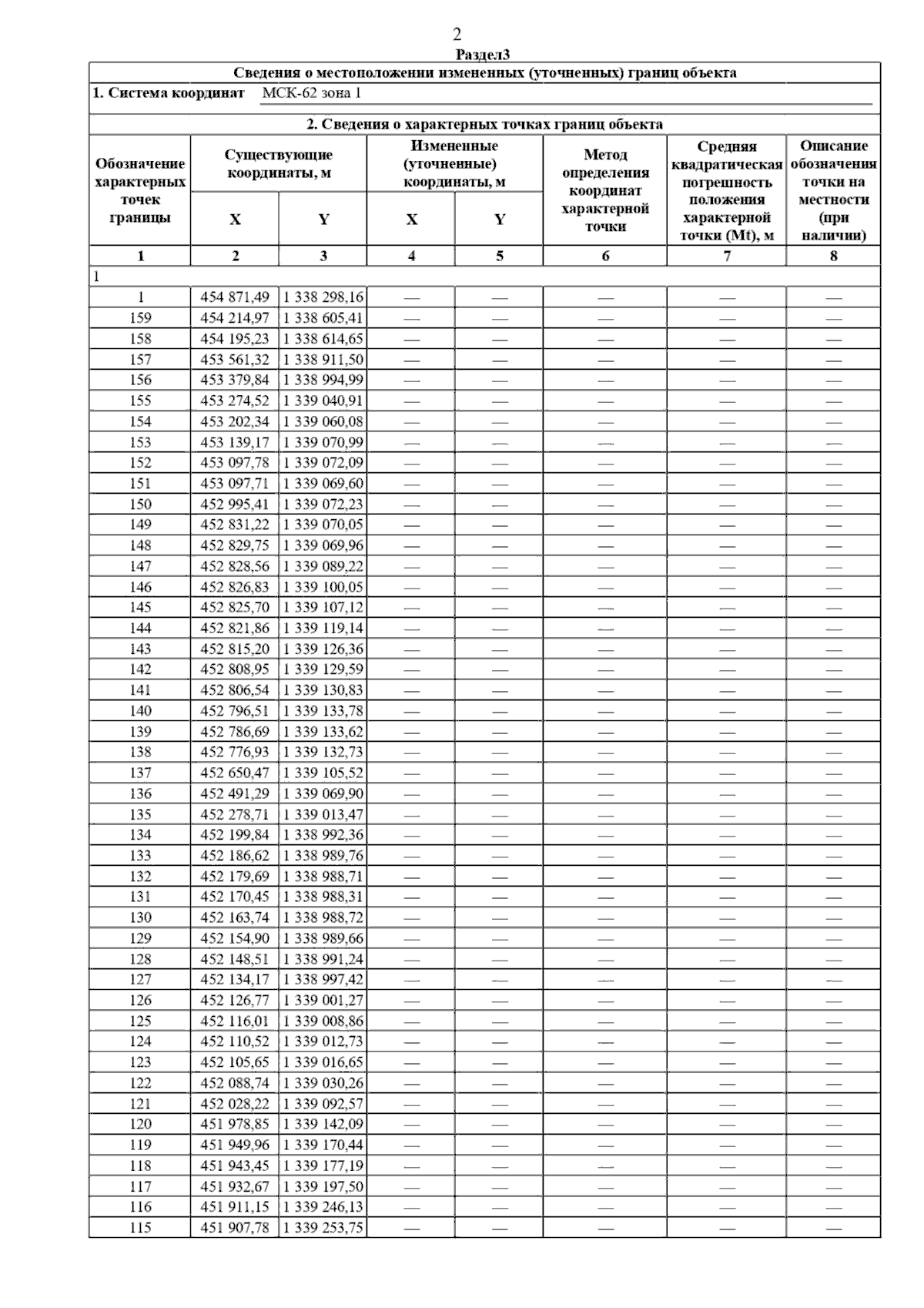
Постановление Главного управления архитектуры и градостроительства Рязанской области от 21.05.2025 № 391-п
"О внесении изменений в правила землепользования и застройки муниципального образования - Варсковское сельское поселение Рязанского муниципального района Рязанской области"
(Зарегистрирован 22.05.2025 № 603)
Номер опубликования: 6201202505260007
Дата опубликования: 26.05.2025
Страница №14 из 54:
Увеличить